- Resprep PLR SPE removes both proteins and phospholipids in one easy, high-efficiency procedure.
- Avoid signal suppression by removing interfering phospholipids from the sample matrix.
- No method development—straightforward and effective sample preparation for acids, bases, and neutral compounds.
Whether you are analyzing whole blood, plasma, or serum, sample matrix components can interfere with analysis, decreasing both accuracy and sensitivity. Removing proteins through precipitation and filtration is a very common strategy for preventing problems, but with this procedure the sample still contains a high concentration of phospholipids. While LC-MS/MS analytical methods will not detect phospholipids if the ions they produce are not monitored, their presence can still affect the analytical results and the overall cleanliness of the instrument.
How to Avoid Phospholipid Signal Suppression
If phospholipids in the sample coelute with analytes of interest, they can affect target analyte ionization, which can cause suppression and lower overall analytical sensitivity. To illustrate signal suppression, we established a post-column infusion of nortriptyline and monitored the steady signal that the constant flow of analyte created. Then, we injected a sample of protein-precipitated plasma onto the column and monitored the presence of phospholipids as well as their effect on the nortriptyline signal. Figure 1A shows how certain phospholipids significantly reduced the nortriptyline response (by 38% in this case). In situations where a target analyte coelutes with phospholipids, use of internal standards can help account for phospholipid signal suppression and further method development can often eliminate the coelution. However, when phospholipid and protein removal can be done concurrently in the same process normally used to remove proteins alone, the question becomes “why try to design a method around something I can easily remove from my sample?”
Resprep PLR SPE products allow you to do just that: one simple SPE workflow removes proteins through precipitation and filtration, while phospholipids are selectively retained in an innovative sintered composite material. Figure 1B illustrates the effectiveness of removing phospholipids along with proteins using a Resprep PLR 96-well plate (cartridges are also available). Comparing again to a continuous post-column infusion of nortriptyline, we can see that the signal is suppressed with protein precipitation alone, but when the sample phospholipids are removed along with the proteins, the signal is no longer compromised. Higher accuracy and sensitivity can be obtained by avoiding phospholipid signal suppression.

LC_GN0594
Peaks
| Peaks | tR (min) | Precursor Ion | Product Ion | |
|---|---|---|---|---|
| 1. | Phosphatidylcholine 34:2 | 0.831 | 758.5 | 184.1 |
| 2. | Phosphatidylcholine 36:2 | 1.119 | 786.5 | 184.1 |
Conditions
| Column | Raptor Biphenyl (cat.# 9309232) | ||||||||||||
|---|---|---|---|---|---|---|---|---|---|---|---|---|---|
| Dimensions: | 30 mm x 2.1 mm ID | ||||||||||||
| Particle Size: | 1.8 µm | ||||||||||||
| Pore Size: | 90 Å | ||||||||||||
| Temp.: | 40 °C | ||||||||||||
| Standard/Sample | |||||||||||||
| Diluent: | Methanol | ||||||||||||
| Inj. Vol.: | 1 µL | ||||||||||||
| Mobile Phase | |||||||||||||
| A: | 0.1% Formic acid in water | ||||||||||||
| B: | 0.1% Formic acid in methanol | ||||||||||||
|
| Detector | MS/MS |
|---|---|
| Ion Mode: | ESI+ |
| Mode: | MRM |
| Instrument | UHPLC |
| Sample Preparation | Proteins were precipitated out of plasma using a 3:1 1% formic acid in acetonitrile:human plasma mixture that was then centrifuged. The supernatant was then divided and cleanup was performed on half using a Resprep PLR SPE 96-well plate (cat.# 28301). |
| Notes | Nortriptyline (15 ng/mL) was infused post-column at 60 μL/min in order to demonstrate signal suppression from coeluting phospholipids. To demonstrate the effect of cleanup on signal strength, 1 μL injections were made of protein crashed plasma samples both with and without Resprep PLR SPE cleanup. |
Excellent Recoveries for Wide Range of Compounds with No Method Development
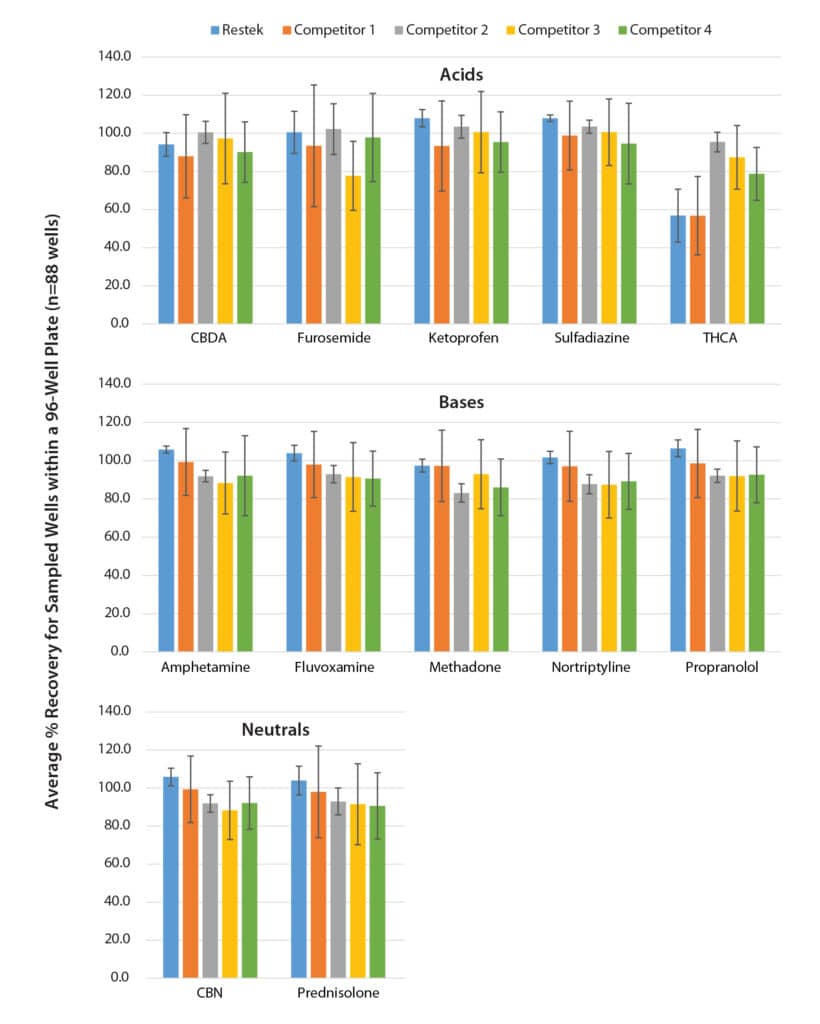
Simultaneous phospholipid and protein removal using Resprep PLR SPE cartridges or 96-well plates can improve sensitivity by reducing phospholipid signal suppression, but its broad applicability offers an additional benefit: less time spent on method development. Simple to use and effective for a wide variety of compound chemistries, Resprep PLR SPE provides reliable cleanup without the need for compound-specific method development. As shown in the competitor comparison in Figure 2, good recoveries were obtained in plasma with a high degree of analytical precision for acidic, basic, and neutral compounds. Tight manufacturing controls ensure consistently strong performance, as demonstrated by the accurate and precise recovery results obtained in plasma for all three target compound categories across three independent lots (Table I).

Table I: Grand average percent recoveries for acids, bases, and neutral compounds across three different lots of Resprep PLR 96-well plates (3 plates per lot).
| Compound Class | Compound | Fortification Level (ng/mL) | Grand Average of % Recoveries (n = 787 wells) | Standard Deviation | %RSD |
|---|---|---|---|---|---|
| Acids | CBDA | 150 | 94.1 | 9.3 | 9.9 |
| Furosemide | 250 | 105.3 | 17.2 | 16.4 | |
| Ketoprofen | 125 | 105.4 | 7.3 | 6.9 | |
| Sulfadiazine | 25 | 108.2 | 5.7 | 5.3 | |
| THCA | 100 | 68.9 | 9.6 | 14.0 | |
| Bases | Amphetamine | 15 | 106.8 | 5.6 | 5.3 |
| Fluvoxamine | 50 | 104.3 | 6.4 | 6.1 | |
| Methadone | 5 | 99.4 | 6.0 | 6.1 | |
| Nortriptyline | 15 | 101.2 | 6.0 | 6.0 | |
| Propranolol | 25 | 105.0 | 6.2 | 5.9 | |
| Neutrals | CBN | 100 | 87.7 | 9.1 | 10.4 |
| Prednisolone | 125 | 105.0 | 10.6 | 10.0 |
The reliable performance demonstrated here is due the robust design of Resprep PLR SPE products. A top frit is used to capture proteins, while the sorbent bed below is a specially designed porous polymer matrix that is co-sintered to silica particles that have bound ligands that retain phospholipids. The end result is a solid matrix for phospholipid and protein removal that—unlike loose sorbent beds—is not susceptible to channeling. Figure 3 shows the resulting performance: high levels of phospholipids are removed consistently across all tested wells in a representative 96-well plate. This means your target analytes can be effectively recovered and analytical accuracy will not be affected by phospholipid signal suppression. In addition, your instrument and overall productivity will benefit from not injecting high concentrations of phospholipids that will eventually reduce LC column lifetime and increase MS downtime as the ion source becomes contaminated.

In conclusion, switching from protein precipitation alone to simultaneous phospholipid and protein removal with Resprep PLR SPE is an easy way to obtain more accurate, reliable results for clinically relevant substances in whole blood, plasma, or serum. The simple sample preparation process is effective for a wide range of analytes, so excellent results can be obtained for acids, bases, and neutral compounds without time and resources being spent on additional method development. In addition to removing interferences that could affect your data, Resprep PLR SPE ensures that less contamination is injected into your column and mass spectrometer, which results in less downtime for maintenance.

