Application Notes

Enzyme Hydrolysis Workflow for Analyzing Drugs of Abuse in Urine by LC-MS/MS

07 Oct 2025

feature CFAN4417

Abstract

The analysis of drugs of abuse in urine can be complicated by matrix components, drug metabolites, and isobaric compounds. In the method developed here, 70 drugs of abuse, including novel psychoactive substances, were analyzed in urine following a simple enzyme hydrolysis sample preparation step. The fast, 8-minute LC-MS/MS method separated all isobars and generated accurate quantitative results at trace levels for all compounds.

Introduction

Testing for drugs of abuse is a necessary task, whether it be for postmortem toxicology, pain management, workplace testing, or a host of other reasons. A variety of biological specimens can be used, but urine is often preferred because it is relatively easy to collect, sample volumes typically exceed what is needed, and target analyte concentrations tend to be higher than in other matrices [1]. In addition, detection windows in urine are typically 1–7 days for most drugs of abuse and can be even longer in samples from chronic users [2]. For these reasons, urine has been used for decades to test for drugs of abuse.

While urine is a common matrix for drugs of abuse analysis, salt concentrations and matrix effects can present analytical challenges. Dilute-and-shoot methods are one approach, but low-level detection can be difficult to achieve because target analytes are diluted along with matrix components. In addition to matrix issues, drugs of abuse analysis can be complicated by the transformation of some drug compounds into glucuronide metabolites. Through this metabolic pathway, which occurs primarily in the liver, glucuronic acid binds to the parent drug, which increases its solubility in water and enables more efficient urinary excretion [3]. The glucuronide forms can be analyzed directly, but because it can be difficult and expensive to source glucuronide standards, LC-MS/MS methods that target the parent drug instead of the glucuronide forms may be advantageous, although effective chromatographic separation is essential when isobars are present.

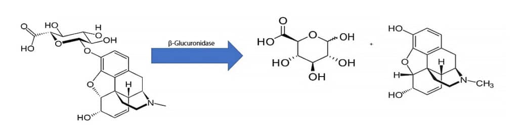
In order to measure parent drugs directly, a hydrolysis step is required prior to analysis to release glucuronic acid from the drugs of interest [3]. One way of achieving this is through enzymatic hydrolysis using β-glucuronidase, and an example of this reaction is shown in Figure 1. The method developed here employs a simple enzyme hydrolysis sample preparation using β-glucuronidase and LC-MS/MS analysis on a Raptor Biphenyl column in order to accurately quantify 70 drugs of abuse, including isobars, at trace levels in urine.

Figure 1: β-Glucuronidase Reaction with Morphine-3-Glucuronide
figure cfan4417 01

When performing enzyme hydrolysis, it is best practice to use a hydrolysis control, but there are some things to consider first. A hydrolysis control is a urine sample that has been fortified at a known concentration with a glucuronide standard, and its purpose is to demonstrate that the hydrolysis reaction is complete. Because it is more difficult to fully hydrolyze a sample when the analytes are present at high concentrations, it is important that the hydrolysis control be fortified at the higher end of the linearity range [4]. Another consideration when using a hydrolysis control is making sure that the fortified concentration is calculated and prepared correctly. This means taking into account the molecular weight of the glucuronide form in addition to the molecular weight of the parent drug. For example, the molecular weight of morphine is 285.3 g/mol, and the molecular weight of morphine-3-β-glucuronide is 461.4 g/mol. If the molecular weight of the glucuronide form is not considered, then the actual concentration of parent drug in the hydrolysis control will be lower than the target concentration. Accurate fortification levels can be calculated using Formula 1.

Formula 1: Fortification Calculation for Hydrolysis Control Samples
equation article CFAN4417 01

Experimental

Master Mix

The following sample preparation uses a master mix containing IMCSzyme RT genetically modified β-glucuronidase (IMCS Irmo, SC). The basic ratio for this master mix is 4 µL of IMCS RT enzyme, 8 µL of IMCS RT buffer, 4.7 µL of water, and 3.3 µL of internal standard (Table I). The total volume of master mix that is prepared should be adjusted to accommodate the number of samples in a batch as each sample is spiked with 20 µL of master mix.

Table I: Internal Standard Concentrations in Urine

Internal StandardConcentration ng/mL
Norbuprenorphine-D450
Fentanyl-D550
Buprenorphine-D450
6-Acetylmorphine-D3100
Norfentanyl-D5100
LSD-D3100
PCP-D5250
THC-COOH-D9250
EDDP-D3400
Paroxetine-D6400
Amitriptyline-D3400
Methadone-D3400
Oxazepam-D5400
Alpha-hydroxyalprazolam-D5400
Nordiazepam-D5400
Temazepam-D5400
Morphine-D3400
Oxymorphone-D3400
Hydromorphone-D3400
MDMA-D5400
Haloperidol-D4400
Oxycodone-D6400
Tramadol-13C-D3400
Ketamine-D4400
7-Aminoclonazepam-D4400
Methamphetamine-D5750
Phenobarbital-D9750

Calibrators, Quality Control Samples, and Urine Sample Preparation

Control urine or sample (20 µL) was added to a 1.5 mL microcentrifuge tube along with 20 µL of the premade master mix. Samples were vortexed for 10 seconds and left to incubate at room temperature for 20 minutes. After incubation, 260 µL of diluent (90:10 0.1% formic acid in water:0.1% formic acid in methanol) was added to each sample. The samples were vortexed for 10 seconds and centrifuged for 10 minutes at 3700 rpm. A 100 µL aliquot of supernatant was added to a 200 µL vial insert, and the samples were moved to the LC-MS/MS for analysis. Fortified calibration standards and quality control samples were prepared at the concentrations shown in Table II.

Table II: Analytical Ranges for Drugs of Abuse in Urine

AnalyteAnalytical Range (ng/mL)QC Range (ng/mL)
Cal HCal GCal FCal ECal DCal CCal BCal AQC LOQQC LowQC MedQC High
6-β-Naltrexol2520304060801005153575
Acetyl fentanyl
Buprenorphine
Fentanyl
Sufentanil
6-Monoacetylmorphine410406080120160200103070150
7-Hydroxymitragynine
LSD
Norbuprenorphine
Norfentanyl
Naloxone820801201602403204002060140300
Benzoylecgonine10251001502003004005002575175375
PCP
THC-COOH (delta-9-COOH)
7-Aminoclonazepam2050200300400600800100050150350750
9-Hydroxyrisperidone
Alpha-OH-alprazolam
Amitriptyline
Amphetamine
Carisoprodol
Citalopram
Codeine
Cyclobenzaprine
Dehydroaripiprazole
Desmethyldoxepin
Dextromethorphan
Duloxetine
EDDP
Haloperidol
Hydrocodone
Hydromorphone
Hydroxybupropion
Lamotrigine
Lorazepam
MDMA
Meprobamate
Methadone
Mirtazapine
Morphine
Naltrexone
N-Desmethyltapentadol
Nordiazepam
Norfluoxetine
Norhydrocodone
Norketamine
Normeperidine
Noroxycodone
Nortriptyline
O-Desmethyltramadol
O-Desmethyl-venlafaxine
Oxazepam
Oxycodone
Oxymorphone
Paroxetine
7-Hydroxyquetiapine
Ritalinic acid
Norsertraline
Temazepam
Tramadol
Trazodone
Venlafaxine
Xylazine
Zolpidem phenyl-4-carboxylic acid
Butalbital401004006008001200160020001003007001500
Cotinine
Methamphetamine
Phenobarbital
Phentermine
Gabapentin10025010001500200030004000500025075017503750
Pregabalin

Hydrolysis Control

The hydrolysis control prepared in this method contained four analytes fortified to equal 1000 ng/mL of parent drug when liberated. Morphine-3-β-D-glucuronide; hydromorphone-3-β-D-glucuronide; amitriptyline-N-β-D-glucuronide; and oxazepam glucuronide were spiked into urine using Formula 1. After fortification, 20 µL of the hydrolysis control was added to a 1.5 mL microcentrifuge tube along with 20 µL of the premade master mix. Samples were vortexed for 10 seconds and left to incubate at room temperature for 20 minutes. After incubation, 260 µL of diluent (90:10 0.1% formic acid in water:0.1% formic acid in methanol) was added to each sample. The samples were vortexed for 10 seconds and centrifuged for 10 minutes at 3700 rpm. A 100 µL aliquot of supernatant was added to a 200 µL vial insert, and the samples were moved to the LC-MS/MS for analysis.

Instrument Conditions

Analytical column:Raptor Biphenyl 2.7 µm, 50 mm x 2.1 mm (cat.# 9309A52)
Guard column:Raptor Biphenyl EXP guard column cartridge 5 x 2.1 mm, 2.7 µm (cat.# 9309A0252)
Mobile phase A:0.1% Formic acid in water
Mobile phase B:0.1% Formic acid in methanol
GradientTime (min)%B
 0.0010
 6.0075
 7.00100
 7.0110
 8.0010
Flow rate:0.6 mL/min
Injection volume:2 µL
Column temp.:45 °C
Ion mode:Positive and negative ESI

Results and Discussion

Optimization of Incubation Time

Different incubation times were tested to determine the optimal time for IMCSzyme RT to perform maximum hydrolysis. This test was performed using a hydrolysis control sample, and incubation times of 10, 15, 20, 25, and 30 minutes were evaluated. An incubation time of 20 minutes produced results closest to the nominal value for all four compounds (Figure 2).

Figure 2: Effect of Hydrolysis Enzyme on Control Samples
figure cfan4417 02

Optimization of Diluent Volume

In order to reduce the amount of matrix injected on the column and still achieve the required sensitivity for the method, different diluent volumes (260 µL, 360 µL, 460 µL, and 560 µL) were examined. Overall, 260 µL of diluent was chosen as the best compromise when considering matrix loading, peak shapes, and sensitivity.

Evaluation of Hydrolysis Efficiency

To assess hydrolysis efficiency, three hydrolysis controls were prepared and analyzed over the course of three days (n=9). The control samples showed acceptable results with all analytes falling within ±15% of the expected value for both intraday and interday repeatability studies (Table III). Precision results also passed with %RSD values of <10%.

Table III: Interday Repeatability of the Hydrolysis Control (Average Across Three-Day Study)

Morphine
Sample Expected (ng/mL) Average (ng/mL) % Difference % RSD
1 1000 1110 11.0 7.6
2 1000 915 8.5 9.3
3 1000 950 5.0 8.9
 
Hydromorphone
Sample Expected (ng/mL) Average (ng/mL) % Difference % RSD
1 1000 1040 4.0 2.5
2 1000 1100 10.0 2.4
3 1000 1090 9.0 2.4
 
Amitriptyline
Sample Expected (ng/mL) Average (ng/mL) % Difference % RSD
1 1000 1150 15.0 6.9
2 1000 962 3.8 8.3
3 1000 1010 1.0 0.0
 
Oxazepam
Sample Expected (ng/mL) Average (ng/mL) % Difference % RSD
1 1000 977 2.3 4.1
2 1000 940 6.0 4.2
3 1000 880 12.0 0.0

Chromatographic Performance

The analysis and separation of 70 drugs of abuse in urine was achieved in a fast, 8-minute cycle time on a Raptor Biphenyl 50 x 2.1 mm, 2.7 µm column by LC-MS/MS as demonstrated in Figure 3.

Figure 3: 70 Drugs of Abuse in Urine Analyzed by LC-MS/MS Following Enzymatic Hydrolysis
Analysis of Drugs of Abuse in Urine on Raptor Biphenyl

LC_CF0806

Peaks

PeakstR (min)Conc.
(ng/mL)
Precursor IonProduct Ion 1Product Ion 2Polarity
1.Cotinine0.78800177.180.098.1+
2.Morphine0.85400286.2152.1165.0+
3.Pregabalin0.882000160.2142.155.0+
4.Oxymorphone0.92400302.1227.2198.2+
5.Hydromorphone1.08400286.2184.9156.9+
6.Amphetamine1.13400136.291.065.1+
7.Gabapentin1.182000172.2154.0137.1+
8.Methamphetamine1.48800150.291.1119.0+
9.Phentermine1.62800150.291.1133.1+
10.Noroxycodone1.62400302.1227.0197.9+
11.Naloxone1.65160328.3310.1212.3+
12.Norhydrocodone1.73400286.1199.0128.2+
13.<a class="cmpd_link" title="View compound information for O-Desmethyltramadol” title=”View compound information for O-Desmethyltramadol” href=”https://ez.restek.com/compound/view/en/80456-81-1/O-Desmethyltramadol”>O-Desmethyltramadol1.75400250.158.042.0+
14.Codeine1.80400300.2152.0165.1+
15.MDMA1.82400194.1163.0135.1+
16.6-Acetylmorphine1.8480328.2211.0165.0+
17.Oxycodone1.95400316.2298.0169.0+
18.Naltrexone2.04400342.2324.0267.0+
19.Hydrocodone2.06400300.2199.0128.0+
20.<a class="cmpd_link" title="View compound information for O-desmethylvenlafaxine” title=”View compound information for O-desmethylvenlafaxine” href=”https://ez.restek.com/compound/view/en/93413-62-8/O-desmethylvenlafaxine”>O-desmethylvenlafaxine2.16400164.158.1107.0+
21.6-β-Naltrexol2.2140344.2326.1308.1+
22.Lamotrigine2.24400255.9211.1145.0+
23.Ritalinic acid2.34400220.184.156.2+
24.N-Desmethyltapentadol2.40400208.1121.2107.1+
25.Norketamine2.46400224.1125.089.1+
26.Hydroxybupropion2.50400256.0130.2166.0+
27.Norfentanyl2.5380233.184.155.0+
28.7-Hydroxyquetiapine2.71400400.2269.0208.0+
29.Tramadol2.76400264.258.077.1+
30.Xylazine2.84400221.990.171.9+
31.Zolpidem Phenyl-4-carboxylic acid2.84400338.1265.1219.0+
32.Benzoylecgonine2.85200290.1168.177.1+
33.Normeperidine2.94400234.1160.291.0+
34.Meprobamate3.01400219.1158.297.0+
35.7-Aminoclonazepam3.07400286.1121.2250.1+
36.Phenobarbital3.23800230.8187.885.0
37.Venlafaxine3.35400278.4260.4195.1+
38.Mirtazapine3.39400266.172.1195.1+
39.Butalbital3.47800222.9180.084.9
40.Norbuprenorphine3.5180414.3152.2165.2+
41.LSD3.6180324.2223.1208.0+
42.7-Hydroxymitragynine3.6580415.5190.1174.9+
43.9-Hydroxyrisperidone3.77400427.2110.2207.1+
44.Acetyl fentanyl3.7940323.2188.0105.0+
45.Citalopram3.94400325.1109.1262.0+
46.Desmethyldoxepin3.99400266.1107.1115.0+
47.Trazodone4.10400372.3148.0260.4+
48.Dextromethorphan4.18400272.1215.1170.9+
49.Haloperidol4.18400377.2170.9123.0+
50.Fentanyl4.2040337.2188.0105.1+
51.Norfluoxetine4.23400296.3134.3104.9+
52.PCP4.25200244.186.1159.1+
53.Buprenorphine4.2740468.355.1414.2+
54.Carisoprodol4.43400261.1176.062.0+
55.EDDP4.64400278.1234.3249.2+
56.Duloxetine4.65400298.1154.1188.2+
57.Paroxetine4.65400330.1192.270.1+
58.Nortriptyline4.67400264.191.1115.2+
59.Cyclobenzaprine4.67400276.2215.0189.0+
60.Sufentanil4.7040387.2238.1111.1+
61.Amitriptyline4.82400278.191.1202.1+
62.Norsertraline HCl5.02400292.0275.0159.0+
63.Lorazepam5.02400321.1229.0275.0+
64.Methadone5.08400310.2264.9105.1+
65.Oxazepam5.08400287.1268.8241.2+
66.Dehydro aripiprazole5.18400446.2285.098.1+
67.alpha-Hydroxyalprazolam5.33400325.1297.0216.2+
68.Nordiazepam5.40400271.0139.9208.0+
69.Temazepam5.71400301.1255.1282.9+
70.THC-COOH6.73200343.0298.9244.8

Conditions

ColumnRaptor Biphenyl (cat.# 9309A52)
Dimensions:50 mm x 2.1 mm ID
Particle Size:2.7 µm
Pore Size:90 Å
Guard Column:Raptor Biphenyl EXP guard column cartridge 5 mm, 2.1 mm ID, 2.7 µm (cat.# 9309A0252)
Temp.:45 °C
Standard/Sample
Diluent:90:10 Water, 0.1% formic acid:methanol, 0.1% formic acid
Inj. Vol.:2 µL
Mobile Phase
A:Water, 0.1% formic acid
B:Methanol, 0.1% formic acid
Time (min)Flow (mL/min)%A%B
0.000.69010
6.000.62575
7.000.60100
7.010.69010
8.000.69010
DetectorSCIEX Triple Quad 4500
Ion Source:Electrospray
Ion Mode:ESI+/ESI-
InstrumentShimadzu Nexera X2
Sample Preparation20 µL of a calibrator control in urine was added to a 1.5 mL microcentrifuge tube along with 20 µL of a premade enzyme hydrolysis master mix. The sample was vortexed for 10 seconds and left to incubate at room temperature for 20 minutes. After the incubation, 260 µL of the diluent [water, 0.1 % formic acid: methanol, 0.1 % formic acid 90:10 (v:v)] was added. The sample was vortexed for 10 seconds and centrifuged for 10 minutes at 3700 rpm. One hundred microliters was added to a vial insert (cat. #21776) in a 2.0 mL, amber, short-cap vial (cat.# 21142) and capped with a 9 mm short cap (cat.# 24497) and injected on the LC-MS/MS for analysis.

Resolution of Isobars

Drugs of abuse assays often contain multiple isobars that require chromatographic separation. These analytes must be resolved in order to accurately quantitate each compound because they cannot be distinguished by the MS alone. A target resolution of 1.5 (baseline) or greater is ideal for quantitative work. Resolution can be calculated using Formula 2 where tR is retention time and W is peak width.

Formula 2: Calculation of Resolution
equation article CFAN4417 02 2

As shown in Table IV, nine groups of isobars were analyzed, and the resolution values within each group were calculated using Formula 2. The Raptor Biphenyl column provided good selectivity and effectively separated the compounds within all nine isobar groups.

Table IV: Isobar Resolution at High QC

Isobar GroupNameMolecular Weight (g/mol)Retention Time (min)Peak WidthResolution
1Morphine285.30.870.1051.9
Hydromorphone1.110.150
Norhydrocodone1.750.1228.7
7-Aminoclonazepam3.070.180
2Oxymorphone301.30.950.125.8
Noroxycodone1.650.12
3Methamphetamine149.21.410.151.2*
Phentermine1.560.11
4Naloxone327.31.650.151.5
6-Acetylmorphine1.840.1
5Codeine299.41.800.1131.7
Hydrocodone2.070.201
6O-desmethylvenlafaxine263.42.110.153.3
Tramadol2.700.203
Mirtazapine3.390.2017.2
Nortriptyline4.660.150
7Lamotrigine256.12.240.1501.6
Hydroxybupropion255.72.500.185
8Citalopram324.43.980.26.6
Alpha-hydroxyalprazolam5.360.22
9EDDP278.14.640.111.5
Amitriptyline4.810.12

*If additional resolution of methamphetamine and phentermine is required, a Raptor Biphenyl 50 x 4.6 mm, 2.7 µm column is recommended.

Accuracy and Precision

Precision and accuracy analyses were performed over the course of three days using three sets each day (n=9). Method accuracy was successfully demonstrated with QC LLOQ, QC Low, QC Med, and QC High results falling within ±15% of the expected values for all analytes. The percent relative standard deviation (%RSD) for intraday and interday testing fell below 9.69%, indicating acceptable method precision.

Linearity

Calibration curves were built using standard over internal standard ratios. Linearity was demonstrated using a 1/x2 weighted linear regression, and all analytes showed acceptable R2 values of 0.991 or greater. The example calibration curves shown in Figure 4 highlight three analytes that represent early, middle, and late eluting compounds: morphine (0.85 min); benzoylecgonine (2.85 min); and temazepam (5.71 min). The linear ranges varied across the different drugs of abuse and are presented above in Table II.

Figure 4: Calibration Curves for Selected Drugs of Abuse
figure cfan4417 04

Column Robustness

Because urine is a relatively dirty matrix, using a guard column is recommended to remove matrix components and protect the analytical column from contamination. Column robustness was tested by running more than 250 matrix injections on the same guard column and analytical column. This evaluation showed good results, with the retention times of the first and last injections having a percent difference of 4.52% or less for all analytes with no observed increase in back pressure. This demonstrates that the performance of both the guard and analytical columns is robust over many injections.

Conclusion

The method developed here provides a quick, effective approach for sample preparation and LC-MS/MS analysis of 70 drugs of abuse in urine. Separation of all drugs, including isobars, was achieved with this rapid and reliable 8-minute method, allowing high-throughput, quantitative analysis at trace levels. This method demonstrated successful precision, accuracy, and linearity for all analytes. It also showed that enzymatic hydrolysis was effective in cleaving the glucuronide from the analyte of interest, allowing lower limits of detection and the ability to report total concentrations.

References

  1. K. E. Moeller, et al., Urine drug screening: Practical guide for clinicians. Mayo Clinic Proceedings. 83, (1) (2008) 66-76. https://www.mayoclinicproceedings.org/article/s0025-6196(11)61120-8/fulltext
  2. J. Cybulski, Urine analysis: The good, the dad, and the ugly. LCGC International. 12 (2016) (3) 13-16. https://www.chromatographyonline.com/view/urine-analysis-good-bad-and-ugly
  3. J. Neifeld, Urine hydrolysis: how did I choose which enzyme to use? Blog. Biotage
    https://www.biotage.com/blog/urine-hydrolysis-how-did-i-choose-which-enzyme-to-use   (Accessed April 17, 2025)
  4. K. Skov, et al.,  Exploring enzymatic hydrolysis of urine samples for investigation of drugs associated with drug-facilitated sexual assault. Pharmaceuticals. 17 (2023) (21) https://doi.org/10.3390/ph17010013

This method has been developed for research use only; it is not suitable for use in diagnostic procedures without further evaluation.

Products Mentioned


Raptor Biphenyl, 2.7 µm, 50 x 2.1 mm HPLC Column
Raptor Biphenyl EXP Guard Column Cartridge, 2.7 µm, 5 x 2.1 mm, 3-pk.
Short-Cap Vial with Grad Marking Spot, 9-425 Screw-Thread, 2.0 mL, 9 mm, 12 x 32 (vial only), Amber, 100-pk.
Short Screw Cap, Polypropylene, Screw-Thread, PTFE/Silicone/PTFE Septa, Blue, Preassembled, 2.0 mL, 9 mm, 100-pk.
EXP Direct Connect Holder for EXP Guard Cartridges, Includes Fitting & Ferrules

Author

  • Samantha Herbick

    Samantha Herbick is an applications scientist within the LC Solutions Department at Restek. Her primary focus is on the development of applications in the toxicology and life science markets. She attended Duquesne University where she earned a bachelor’s degree in Biochemistry and a master's degree in forensic science and law. Prior to joining Restek, Samantha worked as a scientist and method developer in a forensic toxicology lab. In this role, she performed analysis on toxicology casework and worked on the development and validation of new and existing assays using LC-MS/MS, GC-MS, and GC-FID.

    View all posts
CFAN4417