Zusammenfassung
Die Beliebtheit elektronischer Zigaretten (E-Zigaretten) nimmt exponentiell zu. Trotz ihrer ständig zunehmenden Akzeptanz gibt es nur relativ wenige Untersuchungen zur Charakterisierung ihres Dampfes. Bisher konzentrierte sich die Forschung zu E-Zigaretten hauptsächlich auf die Lösungen, die letztlich zur Inhalation durch den Konsumenten verdampft werden. Die vorliegende Untersuchung hatte das Ziel, ein komplettes Paket von Methoden zur schnellen und einfachen Analyse der Liquids und des Dampfes elektronischer Zigaretten zu entwickeln, um den Nikotingehalt und die Verunreinigungsprofile bestimmen zu können. Zur Bestimmung des Nikotingehalts in E-Zigaretten-Liquids wurden schnelle (< 5 Minuten) GC-FID-Methoden (Gaschromatografie mit Flammenionisationsdetektor) mit Helium und Wasserstoff als Trägergas entwickelt. Außerdem wurde eine einfache GC-MS-Methode (Gaschromatografie gekoppelt mit Massenspektrometrie) zur Bestimmung der Verunreinigungen in E-Liquids entwickelt. Abschließend entwickelten wir eine einfache Probenahmevorrichtung, um den Dampf der E-Zigaretten in ein Thermodesorptionsröhrchen (TD) zu ziehen, das anschließend thermisch extrahiert und mithilfe derselben GC-MS-Methode analysiert wurde. Mit diesem innovativen Ansatz ließen sich Konzentrationen von flüchtigen organischen Verbindungen (VOCs) und halbflüchtigen organischen Verbindungen (SVOCs), die in den Liquids nicht detektierbar waren, aus einem einzigen 40-mL-Zug nachweisen. Alle drei Methoden lassen sich mit einem Gaschromatografen, zwei Detektoren und einer einzigen analytischen Säule (Rtx®-VMS) durchführen, was die benötigten Ressourcen minimiert und einen einfachen Vergleich der Ergebnisse möglich macht.
Einführung
Elektronische Zigaretten (E-Zigaretten) verbrennen keinen Tabak, sondern erzeugen mithilfe eines akkubetriebenen metallischen Heizelements aus einem in einer Kartusche enthaltenen Liquid ein Aerosol (ohne Flamme oder Rauch) [1]. Das Liquid besteht normalerweise aus Feuchthaltemitteln (Propylenglykol [1,2-Propandiol] und/oder Glyzerin), Aromastoffen und Nikotin [2]. Wenn die Stromquelle einer E-Zigarette aktiviert wird, verdampft das Heizelement das Liquid unter Bildung eines Nebels, den der Konsument dann inhalieren kann (im deutschen Sprachgebrauch auch als “dampfen” bezeichnet) [3]. Der rauchartige Dampf imitiert den Tabakrauch und reproduziert auch das brennende Gefühl im Rachen und in der Lunge (oft auch als “Throat-Hit” bezeichnet). Diese Ähnlichkeiten mit Tabakrauch, in Verbindung mit vergleichbarer Hand-zu-Mund-Handhabung, haben zur raschen Verbreitung elektronischer Zigaretten beigetragen [4-6]. Trotz ihrer zunehmenden weltweiten Verwendung [3] sind unsere Kenntnisse über die chemischen Inhaltsstoffe von E-Zigaretten sehr begrenzt. Die meisten Untersuchungen konzentrierten sich auf den Nikotingehalt und Verunreinigungen (z. B. Nitrosamine) im Liquid der E-Zigaretten (E-Liquid, im englischen Sprachgebrauch auch als “e-Juice” bezeichnet) [7]. Noch wichtiger ist jedoch, dass nur sehr wenig über die chemische Zusammensetzung des Dampfes bekannt ist, den die Konsumenten letztlich inhalieren [7, 8].
Nur wenige Wissenschaftler (z. B. Goniewicz et al. [7], Kosmider [9] und Schober et al. [8]) haben versucht, den Dampf von E-Zigaretten zu charakterisieren, indem sie Analysen auf flüchtige organische Verbindungen (VOCs), Nitrosamine, Schwermetalle und polyzyklische aromatische Kohlenwasserstoffe (PAK) durchführten. Diese Untersuchungen erforderten jedoch einen relativ komplizierten Versuchsaufbau und/oder benötigten spezielle Rauchmaschinen und/oder eine Reihe spezieller Analysegeräte. Derartige Voraussetzungen sind für routinemäßige Prüfungen in Auftragslaboren oft nicht gegeben. Die vorliegende Studie untersucht den Nikotingehalt und die Verunreinigungen mehrerer handelsüblicher E-Zigaretten und der zugehörigen Liquids mithilfe einfacher und schneller GC-FID- und GC-MS-Methoden. Außerdem wurden die primären Emissionen der E-Zigaretten mithilfe einer einfachen neuartigen Methode, die thermische Desorption (TD) und GC-MS vereint, auf VOCs und halbflüchtige organische Verbindungen (SVOCs) analysiert. Ergebnisse, Analysemethoden, Schwierigkeiten und Lösungen werden im Folgenden erörtert.
Experimenteller Teil
Elektronische Zigaretten und Liquids
Vier im Handel erhältliche elektronische Zigaretten (Tabelle I) wurden aus der von Experten und Verbrauchern erstellten Top 10-Liste der “Best E-Cigarettes of 2014” ausgewählt [10]. Es ist zu bemerken, dass diese vier ausgewählten E-Zigaretten auch auf anderen internetbasierten Bewertungsportalen regelmäßig als “Top 10”-Produkte erschienen. Außerdem waren diese vier Marken leicht von örtlichen Geschäften zu beziehen. Alle vier E-Zigaretten waren Zigaretten der ersten Generation (d. h. sie waren in Bezug auf Größe und Aussehen gewöhnlichen Zigaretten nachgeahmt) [11] und, mit Ausnahme des Anbieters D, Einwegerzeugnisse. Neben den E-Zigaretten wurden auch die zugehörigen E-Liquids (d. h. dieselbe Marke mit identischem Aroma und Nikotingehalt) erworben.
Anbieter A, B und C gaben den Nikotingehalt in Gewichtsprozent an (w/w). Anbieter D gab den Gehalt in Volumenprozent an (v/v). Eine Seite der Flasche mit Nachfülllösung enthielt jedoch die Angabe 1000 mg Nikotin, was eher zur Einheit Gewichtsprozent passt (die auch der branchenübliche Standard zu sein scheint) oder eine Massenkonzentration sein könnte (w/v). Deshalb ist es nicht ganz klar, wie Anbieter D seine Nikotinkonzentrationen bestimmte. Nach Erhalt der Proben wurde 1 mL jedes E-Liquids mit einer kalibrierten Spritze auf eine kalibrierte Waage pipettiert, um die Dichte jeder Lösung zu bestimmen. Die gemessenen Dichten wurden später benutzt, um die Konzentrationsangaben auf den Etiketten (Gewichtsprozent, w/w) mithilfe der folgenden Gleichung in Massenkonzentrationen (m/v) umzurechnen, um so einen direkten Vergleich mit den analytisch bestimmten Massenkonzentrationen in mg/mL zu ermöglichen:

Tabelle I: Eigenschaften elektronischer Zigaretten und Liquids
| Anbieter | Angegebener Nikotingehalt % (wt /wt) | Typ | Gemessene Dichte (g/mL) |
|---|---|---|---|
| A | 1.8 (18 mg/1,000 mg) | Klassischer Tabak | 1.1179 |
| B | 1.2 (12 mg/1,000 mg) | Klassischer Tabak | 1.1843 |
| C | 1.2 (12 mg/1,000 mg) | Menthol | 1.2006 |
| D | 1.8 (18 mL/1,000 mL)* | Klassischer Tabak | 1.1271 |
*Ein Etikett auf der Flasche mit Nachfülllösung gab die Konzentration an Nikotin in Volumenprozent (v/v) an, die andere Seite der Flasche enthielt jedoch die Angabe 1000 mg, was eher für die Einheit Gewichtsprozent (w/w) spricht.
Nikotin
Zur Bestimmung der Nikotinkonzentrationen in den Liquids von E-Zigaretten wurde das folgende System verwendet: ein Agilent 7890A GC mit einem Agilent FID. Als analytische Säule wurde eine Rtx®-VMS-Säule verwendet, die sich durch ihre einzigartige Fähigkeit zur Trennung flüchtiger Verbindungen auszeichnet. Die GC-FID-Parameter für Helium und Wasserstoff als Trägergase sind in Tabelle II dargestellt. Die Nikotinkonzentrationen in den Liquids der E-Zigaretten wurden durch Kalibrierung des GC-FID mit einem NIST (National Institute of Standards and Technology) rückführbaren Standard (Art.-Nr. 34085) bestimmt. Der 1000 µg/mL-Nikotinstandard wurde mit Methylenchlorid schrittweise verdünnt, um eine externe Kalibrierkurve mit 7 Punkten erstellen zu können (Tabelle III). Ein interner Standard (Art.-Nr. 30074) gemäß U.S. EPA (United States Environmental Protection Agency) Methode 8260 erwies sich für die vorliegende Untersuchung als geeignet, ist jedoch nicht gezeigt.
Alle E-Liquids wurden mit Methylenchlorid hundertfach verdünnt. Diese Verdünnung wurde aus folgenden Gründen durchgeführt: 1) Anfängliche Versuche mit den E-Liquids ergaben, dass sie relativ zähflüssig waren. Diese hohe Viskosität führte zur Bildung von Luftblasen in der Spritze des Autosamplers. Eine Verdünnung von 100:1 beseitigte alle Viskositätsprobleme. 2) Die für diese Untersuchung ausgewählten E-Liquids schienen Nikotinkonzentrationen von etwa15–25 mg/mL zu besitzen, was außerhalb des Konzentrationsbereichs der Kalibrierkurve lag (Tabelle III). Eine Verdünnung von 100:1 führte zu Nikotinkonzentrationen, die zwischen den unteren und oberen Grenzen der Kalibrierkurve lagen. Wichtig ist zu erwähnen, dass Methylenchlorid anstelle von Methanol als Lösemittel benutzt wurde, weil der Methanol-Lösemittelpeak mit Ethanol (einem Hauptbestandteil der Liquids von E-Zigaretten) koeluiert.
Tabelle II: Analysesystem und Parameter zur quantitativen Bestimmung des Nikotingehalts elektronischer Zigaretten-Liquids.
| Agilent 7890A GC-FID | |||
| Säule | Rtx-VMS, 30 m, 0.25 mm ID, 1.40 µm (Art.-Nr. 19915) | ||
| Injektion | Verdünntes (100:1) E-Liquid | ||
| Injektionsvolumen | 1.0 µL split 200:1 | ||
| Liner | Restek Premium 4-mm Precision Liner mit Glaswolle (Art.-Nr. 23305.5) | ||
| Injektionstemperatur | 250 °C | ||
| Septum Purge Fluss | 3 mL/min | ||
| Detektor | FID bei 250 °C | ||
| Trägergas | He, konstanter Fluss | H₂, konstanter Fluss* | H₂, konstanter Fluss* |
| Flussrate | 2.0 mL/min | 2.50 mL/min | 2.50 mL/min |
| Lineargeschwindigkeit | 44.4 cm/sec | 67.2 cm/sec | 67.2 cm/sec |
| Ofen | 100 °C bis 260 °C mit 35 °C/min (0.25 min) | 100 °C bis 260 °C mit 54 °C/min (0.15 min) | 100 °C bis 240 °C mit 35 °C/min |
*Erfordert einen Ofen mit schneller Aufheizung
Tabelle III: Externe Kalibrierkurve zur quantitativen Bestimmung des Nikotingehalts von E-Liquids.
| 1.00 mg/mL Nikotin-Standard (Art.-Nr. 34085) | ||||
| Stufe | µL der vorherigen Stufe | µL Methylenchlorid | Gesamtvolumen (µL) | Konzentration (mg/mL) |
| 1 | NA | NA | NA | 1.00 |
| 2 | 100 | 100 | 200 | 0.500 |
| 3 | 100 | 100 | 200 | 0.250 |
| 4 | 100 | 100 | 200 | 0.125 |
| 5 | 100 | 100 | 200 | 0.063 |
| 6 | 100 | 100 | 200 | 0.031 |
| 7 | 100 | 100 | 200 | 0.016 |
Verunreinigungen
Zur qualitativen Bestimmung der Verunreinigungen in den Liquids von E-Zigaretten wurde folgendes Analysesystem verwendet: ein Agilent 7890B GC in Verbindung mit einem Agilent 5977A MS-Detektor. Die GC-MS-Parameter sind in Tabelle IV dargestellt. Für diese Analyse wurde ebenfalls die Rtx®-VMS-Säule verwendet, die sich für flüchtige Verbindungen bewährt hat.
Tabelle IV: Analysesystem und Parameter zur quantitativen Bestimmung der Verunreinigungen in E-Liquids.
| Agilent 7890B/5977A GC-MS-Parameter | |
| Säule | Rtx-VMS, 30 m, 0.25 mm ID, 1.40 µm (Art.-Nr. 19915) |
| Injektion | Diluted (2:1) electronic cigarette liquid |
| Injektionsvolumen | 1.0 µL split (10:1) |
| Liner | Restek Premium 4 mm Precision liner w/wool (Art.-Nr. 23305.5) |
| Injektionstemperatur | 250 °C |
| Septum Purge Fluss | 3 mL/min |
| Ofen | 35 °C (hold 1 min) to 250 °C at 11 °C/min (hold 4 min) |
| Trägergas | He, constant flow |
| Flussrate | 2.0 mL/min |
| Lineargeschwindigkeit | 51.15 cm/sec |
| Detektor | MS |
| Modus | Scan |
| Temp. Transferline | 250 °C |
| Analysatortyp | Single quadrupole |
| Ionenquellentemperatur | 230 °C |
| Quadrupol-Temperatur | 150 °C |
| Elektronenenergie | 70 eV |
| Tuning-Typ | BFB |
| Ionisationsmodus | EI |
| Erfassungsbereich | 15 – 550 amu |
| Scangeschwindigkeit | 5.2 scans/sec |
Dampf
Der Dampf elektronischer Zigaretten wurde auf Nikotin und Verunreinigungen analysiert, nachdem er in Thermodesorptionsröhrchen „aufgefangen“ wurde. Goniewicz et al. und andere Wissenschaftler verwendeten Rauchmaschinen (z. B. Teague TE-2, Borgwaldt RM20S), um Aerosole von E-Zigaretten zu erzeugen und aufzufangen; eine derartige Apparatur war jedoch für die vorliegende Untersuchung nicht verfügbar [7]. Um reproduzierbare und quantitative Ergebnisse zu erhalten, wurde deshalb eine einfache Probenahmevorrichtung (Abbildung 1) aus einer gasdichten 50-mL-Spritze (Art.-Nr. 24761). gefertigt. Die Spritze wurde verwendet, um 40 mL Dampf in ca. 4 Sekunden aus einer E-Zigarette in ein Thermodesorptionsröhrchen aus Edelstahl zu ziehen, das mit Tenax TA, Carbograph TD und Carboxen 1003 (nicht konditioniert [Art.-Nr. 26469] oder konditioniert [Art.-Nr. 26470]). gefüllt war. Dieses Röhrchen wurde auf Basis der optimierten Kombination dreier Sorbentien für das Screening auf VOCs (C2-3) bis zu SVOCs (C30-32) ausgewählt. Obwohl es sich hierbei um eine manuelle Methode handelte, wurde ein Zug von etwa 4 Sekunden Dauer verwendet, in Übereinstimmung mit den Beobachtungen zur Topografie von E-Zigaretten von Farsalinos et al. [12]. Neben den Proben mit einem einzigen Zug wurde auch eine aus 10 Zügen bestehende Probe analysiert, um ein typisches Rauchverhalten nachzuahmen. Bei dieser Probenahme wurden 10 Züge von jeweils 4 Sekunden Dauer verwendet, die durch 10 Sekunden lange Intervalle zwischen den einzelnen Zügen voneinander getrennt waren. Das Desorptionsröhrchen wurde dann zur Bestimmung der von der E-Zigarette direkt emittierten VOCs und SVOCs an das folgende Analysesystem überführt: ein Markes UNITY™-Thermodesorptionssystem in Verbindung mit einem Agilent 7890B GC, der mit einem Agilent 5977A MS-Detektor gekoppelt war. Das UNITY™-System und die GC-MS-Parameter sind in den Tabellen V bzw. IV dargestellt.
Die Dampfkonzentrationen ausgewählter VOCs wurden aus einer Kalibrierkurve mit 5 Punkten berechnet, die durch Analyse einer Volumenreihe eines 10.0 ppbv Primärstandards erzeugt wurde (Tabelle VI). Der 10.0 ppbv Primärstandard wurde hergestellt, indem 180 mL des 1.00 ppmv 75 Komponenten TO-15 + NJ Mixes (Art.-Nr. 34396) und 180 mL des 1.00 ppmv Ozon-Precursor-Gemischs/PAMS (Art.-Nr. 34420) in einen evakuierten 6-Liter-SilcoCan® Luftüberwachungskanister (Art.-Nr. 24142-650) injiziert wurden, wonach der Kanister mit Stickstoff von 50% relativer Feuchte auf 30 psig unter Druck gesetzt wurde. Ochiai et al. [13] zeigten, dass 50% relative Feuchte sich für die Stabilität als optimal erwies. Der Standard wurde dann zur Alterung 7 Tage gelagert.

Tabelle V: Thermodesorptionssystem Markes UNITY™ und Parameter für die thermische Extraktion der Aerosole elektronischer Zigaretten zur qualitativen und quantitativen Bestimmung der von E-Zigaretten emittierten VOCs und SVOCs.
| Markes UNITY-Parameter | |||
|---|---|---|---|
| Allgemeine Einstellungen | Trap-Einstellungen | ||
| Betriebsmodus | Standard, zwei Stufen | Pre-Trap Fire-Purge | 1.0 min |
| Standby-Split | ja | Flussrate | 20.0 mL/min |
| Standby-Flussrate | 5 mL/min | Trapping Temperatur | 0 °C |
| Temperatur Strömungsweg | 210 °C | Aufheizrate | Max |
| Minimum Trägergasdruck | 5.0 psi | Desorptionstemperatur | 320 °C |
| GC-Zykluszeit | 0.0 | Trap-Haltezeit | 5 min |
| Split auf | True | ||
| Vor der Desorption | Split Fluss | 20 mL/min | |
| Vorspülzeit | 1.0 min | ||
| Trap in Line | nein | ||
| Split auf | ja | ||
| Flussrate | 20 mL/min | ||
| Röhrchen-/Probendesorption | |||
| Zeit 1 | 10.0 min | ||
| Temperatur 1 | 320 °C | ||
| Trap in Line | ja | ||
| Split auf | nein | ||
Tabelle VI: Kalibrierkurve zur Berechnung der mithilfe des Thermodesorptionssystems Markes UNITY™ bestimmten Konzentrationen im Dampf.
| Standard (ppbv) | Injektionsvolumen (mL) | Kalibrierkonzentration (ppbv) |
|---|---|---|
| 10.0 | 720 | 180 |
| 10.0 | 360 | 90 |
| 10.0 | 120 | 30 |
| 10.0 | 40 | 10 |
| 10.0 | 4 | 1.00 |
Blindproben
Das Markes UNITY™-System wurde mit Helium als Trägergas zur Desorption der Thermodesorptionsröhrchen und der Kühlfalle mittels ballistischen Aufheizens betrieben, um die Analyten am Kopf der analytischen Säule zu fokussieren. Die Kombination aus Heliumgas (frei von Sauerstoff) und erhöhten Temperaturen führte möglicherweise zu Bedingungen, die für eine Pyrolyse von Propylenglykol und/oder Glyzerin ideal waren. Es wurde bereits früher gezeigt, dass bei der Pyrolyse von Propylenglykol und Glyzerin Formaldehyd, Acetaldehyd und Acrolein entstehen. Deshalb wurden folgende Versuche durchgeführt, um etwaige Beiträge aus dem TD-GC-MS-Prozess selbst ermitteln zu können: in leere Röhrchen aus Edelstahl (d. h. ohne Sorbens) sowie in gefüllte Thermodesorptionsröhrchen (d. h. mit Mehrbett-Sorbens) wurden 1-µL-Aliquote der Liquids von E-Zigaretten injiziert und im TD-GC-MS-System analysiert. Außerdem stammte die bei der Probenahme durch die elektronischen Zigaretten gezogene Luft aus dem Labor. Aufgrund des allgegenwärtigen Vorkommens von VOCs wie Formaldehyd und Benzol war es unerlässlich, den Beitrag an VOCs in der Laborluft für die Dampfanalyse zu bestimmen. 40-mL-Proben der Laborluft wurden deshalb in regelmäßigen Abständen mithilfe von Thermodesorptionsröhrchen gesammelt und mit derselben TD-GC-MS-Methode analysiert.
Ergebnisse und Diskussion
Nikotin
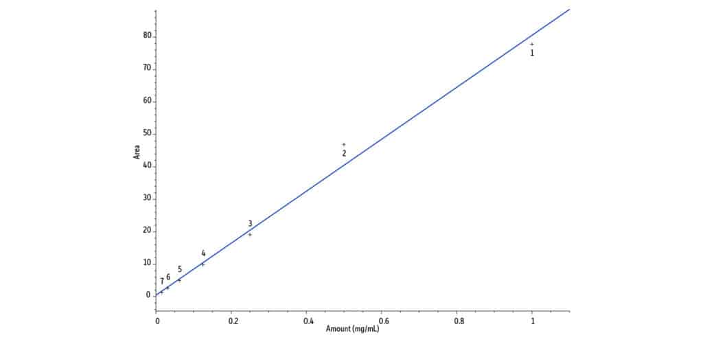
Analysen der Liquids elektronischer Zigaretten, wie in Abbildung 2 (Helium), Abbildung 3 (Wasserstoff, schnelle Aufheizung) und Abbildung 4 (Wasserstoff, Standardaufheizung) gezeigt, unter Verwendung der in Tabelle II gezeigten GC-FID-Bedingungen, ermöglichten die schnelle Bestimmung (d. h. weniger als 5 Minuten GC-Laufzeit) der wesentlichen chemischen Bestandteile. Die Liquids der E-Zigaretten aller vier Anbieter enthielten offenbar Ethanol, Propylenglykol, Glyzerin und Nikotin. Hierbei sollte erwähnt werden, dass alle vier Anbieter Propylenglykol, Glyzerin und Nikotin auflisteten; keiner der Anbieter gab jedoch Ethanol als Inhaltsstoff an. Analysen von Blindproben zeigten, dass sich das Ethanol nicht durch Kontamination aus dem Labor erklären ließ. Methylenchlorid wurde als Lösemittel verwendet, um durch Viskosität oder Konzentration bedingte Probleme zu beseitigen; das erklärt die reichliche Anwesenheit des Methylenchlorids. Abbildung 5 zeigt, dass die schnelle GC-FID-Methode eine akzeptable externe Kalibrierung des Nikotins zwischen 0.016 und 1.00 mg/mL (r > 0.995) ergab.
Tabelle VII zeigt, dass die vom Anbieter angegebenen Nikotinkonzentrationen um 4 bis 28 % unter den tatsächlich gemessenen Nikotinkonzentrationen lagen. Wir erinnern daran, dass die Angaben von Gewichtsprozenten auf den Etiketten mithilfe der gemessenen Dichte jeder Lösung in Massenkonzentrationen umgerechnet wurden, um einen direkten Vergleich mit den tatsächlichen Werten zu ermöglichen, die unter Verwendung der Kalibrierkurve analytisch bestimmt wurden. Die Beobachtung des erhöhten Nikotingehalts steht im Einklang mit den Ergebnissen von Schober et al. [8] und anderen Wissenschaftlern.

GC_FF1256
Peaks
| Peaks | tR (min) | |
|---|---|---|
| 1. | Methanol | 1.285 |
| 2. | Ethanol | 1.355 |
| 3. | Methylene chloride | 1.430 |
| 4. | Propylene glycol | 2.174 |
| 5. | Unknown | 3.371 |
| 6. | Glycerin | 3.446 |
| 7. | Nicotine | 4.632 |
Conditions
| Column | Rtx-VMS, 30 m, 0.25 mm ID, 1.40 µm (cat.# 19915) |
|---|---|
| Standard/Sample | |
| Diluent: | Methylene chloride |
| Conc.: | Electronic cigarette liquid diluted 100:1 |
| Injection | |
| Inj. Vol.: | 1.0 µL split (split ratio 200:1) |
| Liner: | Premium 4 mm Precision liner w/wool (cat.# 23305) |
| Inj. Temp.: | 250 °C |
| Oven | |
| Oven Temp.: | 100 °C to 260 °C at 35 °C/min (hold 0.25 min) |
| Carrier Gas | He, constant flow |
| Flow Rate: | 2.0 mL/min |
| Linear Velocity: | 44.4 cm/sec @ 100 °C |
| Detector | FID @ 250 °C |
|---|---|
| Make-up Gas Flow Rate: | 50 mL/min |
| Make-up Gas Type: | H2 |
| Hydrogen flow: | 40 mL/min |
| Air flow: | 400 mL/min |
| Instrument | Agilent 7890A GC |

GC_FF1257
Peaks
| Peaks | tR (min) | |
|---|---|---|
| 1. | Methanol | 0.861 |
| 2. | Ethanol | 0.905 |
| 3. | Methylene chloride | 0.957 |
| 4. | Propylene glycol | 1.433 |
| 5. | Glycerin | 2.256 |
| 6. | Nicotine | 3.030 |
Conditions
| Column | Rtx-VMS, 30 m, 0.25 mm ID, 1.40 µm (cat.# 19915) |
|---|---|
| Standard/Sample | |
| Diluent: | Methylene chloride |
| Conc.: | Electronic cigarette liquid diluted 100:1 |
| Injection | |
| Inj. Vol.: | 1.0 µL split (split ratio 200:1) |
| Liner: | Premium 4 mm Precision liner w/wool (cat.# 23305) |
| Inj. Temp.: | 250 °C |
| Oven | |
| Oven Temp.: | 100 °C to 260 °C at 54 °C/min (hold 0.15 min) |
| Carrier Gas | H2, constant flow |
| Flow Rate: | 2.5 mL/min |
| Linear Velocity: | 67.2 cm/sec @ 100 °C |
| Detector | FID @ 250 °C |
|---|---|
| Make-up Gas Flow Rate: | 50 mL/min |
| Make-up Gas Type: | H2 |
| Hydrogen flow: | 40 mL/min |
| Air flow: | 400 mL/min |
| Instrument | Agilent 7890A GC |

GC_FF1258
Peaks
| Peaks | tR (min) | |
|---|---|---|
| 1. | Methanol | 0.875 |
| 2. | Ethanol | 0.926 |
| 3. | Methylene chloride | 0.987 |
| 4. | Propylene glycol | 1.619 |
| 5. | Glycerin | 2.805 |
| 6. | Nicotine | 3.927 |
Conditions
| Column | Rtx-VMS, 30 m, 0.25 mm ID, 1.40 µm (cat.# 19915) |
|---|---|
| Standard/Sample | |
| Diluent: | Methylene chloride |
| Conc.: | Electronic cigarette liquid diluted 100:1 |
| Injection | |
| Inj. Vol.: | 1.0 µL split (split ratio 200:1) |
| Liner: | Premium 4 mm Precision liner w/wool (cat.# 23305) |
| Inj. Temp.: | 250 °C |
| Oven | |
| Oven Temp.: | 100 °C to 240 °C at 35 °C/min |
| Carrier Gas | H2, constant flow |
| Flow Rate: | 2.5 mL/min |
| Linear Velocity: | 67.2 cm/sec @ 100 °C |
| Detector | FID @ 250 °C |
|---|---|
| Make-up Gas Flow Rate: | 50 mL/min |
| Make-up Gas Type: | H2 |
| Hydrogen flow: | 40 mL/min |
| Air flow: | 400 mL/min |
| Instrument | Agilent 7890A GC |

Tabelle VII: Vergleich der vom Anbieter angegebenen Nikotinkonzentrationen mit den in der vorliegenden Untersuchung durch direkten Vergleich mit reinen Nikotinstandards mithilfe der GC-FID-Methode bestimmten Konzentrationen.
| Anbieter | Vom Anbieter angegebene Nikotinkonzentration (mg/mL)^ | In dieser Studie bestimmte Nikotinkonzentration (mg/mL)* | Differenz in % |
|---|---|---|---|
| A | 20.1 | 23.4 | 17% |
| B | 14.2 | 14.8 | 4% |
| C | 14.4 | 17.4 | 21% |
| D | 20.3 | 26.0 | 28% |
^Berechnet auf Basis der gemessenen Dichte.
*Mittelwert von 3 Analysen.
Verunreinigungen in den Liquids von E-Zigaretten
Wie in Abbildung 6 gezeigt, ergab die Analyse der Liquids von E-Zigaretten, dass neben den von den Anbietern aufgelisteten Inhaltsstoffen Propylenglykol, Glyzerin und Nikotin zahlreiche weitere Verbindungen vorlagen. Bei der in Abbildung 6 gezeigten Lösung (Anbieter A) wurden 64 nicht identifizierte und identifizierte (einige nur vorläufig) Verbindungen im E-Liquid gefunden. Verbindungen wurden als “identifiziert” eingestuft, wenn sie in einem anschließenden Lauf mit einem externen Standard durch identische Retentionszeiten und Massenspektren verifiziert wurden. Verbindungen wurden als “vorläufig identifiziert” eingestuft, wenn die Übereinstimmung des Massenspektrums mit der 2011-NIST-Datenbank 80% oder höher war [14]. Mehrere Pyrazine, die vermutlich aus vom Hersteller zugefügten Aromastoffen stammen, wurden vorläufig identifiziert. So ist der vorläufig identifizierte Geschmacksstoff Acetylpyrazin zum Beispiel für sein “nussartiges” Aroma bekannt. Außerdem wurden mehrere Pyridine identifiziert, was bei aus Tabak gewonnenem Nikotin üblich ist. Zum Beispiel wurde 3-(3,4-Dihydro-2H-Pyrrol-5-yl)-Pyridin (Myosmin) ebenfalls vorläufig identifiziert und diese Verbindung ist ein in Tabak vorliegendes Alkaloid [15]. Es ist zu beachten, dass fast die Hälfte (36) aller Verbindungen nicht identifiziert wurde; zukünftige Forschungsarbeiten sollten sich auf die Identifikation dieser Verbindungen konzentrieren.

GC_FF1260
Peaks
| Peaks | tR (min) | Match Quality | EC Liquid | Blank | Region | |
|---|---|---|---|---|---|---|
| 1. | Nitrogen/oxygen/carbon dioxide | 1.051 | 100 | x | x | Red |
| 2. | Water | 1.441 | 100 | x | x | Red |
| 3. | Methanol | 1.709 | 100 | x | x | Red |
| 4. | Unidentified | 1.934 | x | x | Red | |
| 5. | cis-1,2-Dimethylcyclopropane | 2.117 | 94 | x | x | Red |
| 6. | Ethanol | 2.239 | 100 | x | Red | |
| 7. | 1,1-Dichloroethene | 2.282 | 94 | x | x | Red |
| 8. | Methylene chloride | 2.757 | 100 | x | x | Red |
| 9. | 1,2-Dichloroethene | 2.891 | 94 | x | x | Red |
| 10. | Ethyl acetate | 4.037 | 91 | x | Red | |
| 11. | Unidentified | 6.000 | x | Red | ||
| 12. | Unidentified | 6.085 | x | Red | ||
| 13. | Toluene | 6.207 | 100 | x | Red | |
| 14. | Propylene glycol | 7.853 | 100 | x | Orange | |
| 15. | 2,3-Dimethylpyrazine | 9.243 | 91 | x | Orange | |
| 16. | Unidentified | 9.615 | x | Orange | ||
| 17. | Unidentified | 9.713 | x | Orange | ||
| 18. | Unidentified | 9.889 | x | Orange | ||
| 19. | Unidentified | 10.017 | x | Orange | ||
| 20. | Unidentified | 10.060 | x | Orange | ||
| 21. | Trimethylpyrazine | 10.383 | 94 | x | Orange | |
| 22. | Unidentified | 10.828 | x | Orange | ||
| 23. | Unidentified | 10.907 | x | Orange | ||
| 24. | Unidentified | 11.047 | x | Orange | ||
| 25. | Unidentified | 11.114 | x | Orange | ||
| 26. | Acetylpyrazine | 11.394 | 95 | x | Orange | |
| 27. | N-(1-Methylethyl)benzenamine | 11.864 | 80 | x | Orange | |
| 28. | Dipropylene glycol | 12.071 | 91 | x | Orange | |
| 29. | Glycerin | 12.473 | 100 | x | Orange | |
| 30. | Dipropylene glycol methyl ether | 13.040 | 80 | x | Green | |
| 31. | Unidentified | 13.107 | x | Green | ||
| 32. | Unidentified | 13.168 | x | Green | ||
| 33. | Unidentified | 13.229 | x | Green | ||
| 34. | 1-(3-Pyridinyl)ethanone | 13.321 | 94 | x | Green | |
| 35. | Unidentified | 13.412 | x | Green | ||
| 36. | Unidentified | 13.463 | x | Green | ||
| 37. | Unidentified | 14.479 | x | Green | ||
| 38. | Unidentified | 14.534 | x | Green | ||
| 39. | Unidentified | 14.643 | x | Green | ||
| 40. | Unidentified | 14.863 | x | Green | ||
| 41. | Unidentified | 15.003 | x | Green | ||
| 42. | Nicotine | 15.800 | 100 | x | Green | |
| 43. | Unidentified | 16.161 | x | Blue | ||
| 44. | Unidentified | 16.222 | x | Blue | ||
| 45. | α-Damascone | 16.289 | 95 | x | Blue | |
| 46. | Unidentified | 16.374 | x | Blue | ||
| 47. | Unidentified | 16.417 | x | Blue | ||
| 48. | Unidentified | 16.478 | x | Blue | ||
| 49. | Unidentified | 16.643 | x | Blue | ||
| 50. | Unidentified | 16.984 | x | Blue | ||
| 51. | Unidentified | 17.033 | x | Blue | ||
| 52. | Myosmine | 17.155 | 95 | x | Blue | |
| 53. | Unidentified | 17.276 | x | Blue | ||
| 54. | Unidentified | 17.380 | x | Blue | ||
| 55. | Unidentified | 17.441 | x | Blue | ||
| 56. | Nicotine 1-N-oxide | 17.533 | 93 | x | Blue | |
| 57. | Anabasine | 17.697 | 98 | x | Blue | |
| 58. | Nicotyrine | 17.752 | 91 | x | Blue | |
| 59. | Unidentified | 18.105 | x | Blue | ||
| 60. | 2,3-Dipyridyl | 18.550 | 97 | x | Blue | |
| 61. | Unidentified | 19.788 | x | Blue | ||
| 62. | Unidentified | 21.025 | x | Blue | ||
| 63. | Unidentified | 21.092 | x | Blue | ||
| 64. | Cotinine | 21.635 | 91 | x | Blue |
Conditions
| Column | Rtx-VMS, 30 m, 0.25 mm ID, 1.40 µm (cat.# 19915) |
|---|---|
| Standard/Sample | |
| Diluent: | Methylene chloride |
| Conc.: | Electronic cigarette liquid diluted 2:1 |
| Injection | |
| Inj. Vol.: | 1 µL split (split ratio 10:1) |
| Liner: | Premium 4 mm Precision liner w/wool (cat.# 23305) |
| Inj. Temp.: | 250 °C |
| Oven | |
| Oven Temp.: | 35 °C (hold 1 min) to 250 °C at 11 °C/min (hold 4 min) |
| Carrier Gas | He, constant flow |
| Flow Rate: | 2.0 mL/min |
| Linear Velocity: | 51.15 cm/sec @ 35 °C |
| Detector | MS | ||||||||
|---|---|---|---|---|---|---|---|---|---|
| Mode: | Scan | ||||||||
| Scan Program: | |||||||||
| |||||||||
| Transfer Line Temp.: | 250 °C | ||||||||
| Analyzer Type: | Quadrupole | ||||||||
| Source Type: | Extractor | ||||||||
| Extractor Lens: | 6mm ID | ||||||||
| Source Temp.: | 230 °C | ||||||||
| Quad Temp.: | 150 °C | ||||||||
| Electron Energy: | 70 eV | ||||||||
| Tune Type: | BFB | ||||||||
| Ionization Mode: | EI | ||||||||
| Instrument | Agilent 7890B GC & 5977A MSD | ||||||||
Dampf
Wie in Abbildung 7 gezeigt, konnte die einfache Probenahmevorrichtung (Abbildung 1) den Dampf einer elektronischen Zigarette erfolgreich in das Thermodesorptionsröhrchen ziehen und aus einem einzigen 40-mL-Zug nachweisbare Mengen von VOCs und SVOCs liefern. Die Untersuchung über Verunreinigungen ergab, dass der Dampf von E-Zigaretten neben Propylenglykol, Glyzerin und Nikotin zahlreiche weitere Verbindungen enthielt (z.B. 82 nicht identifizierte und identifizierte [manche nur vorläufig] Verbindungen). Zusätzlich zu den in den Liquids gefundenen Verbindungen offenbarte die Analyse des Dampfes jedoch die Anwesenheit von weiteren 18 Verbindungen. Besonders interessant war das Vorhandensein von Formaldehyd, Acetaldehyd, Acrolein und Xylolen sowie mehrerer Siloxane. Die Beobachtung der drei Carbonylverbindungen Formaldehyd, Acetaldehyd und Acrolein in der vorliegenden Untersuchung steht im Einklang mit den Ergebnissen von Goniewicz et al.’s [7] und Kosmider et al.’s [9].
Diese Ergebnisse sind aus folgenden Gründen relevant: 1. Alle drei Carbonylverbindungen sind akut toxisch; außerdem ist Formaldehyd als für Menschen krebserzeugend [16] und Acetaldehyd als für Menschen potenziell krebserzeugend [17] eingestuft. 2. Diese Verbindungen waren in den E-Liquids nicht anwesend, was darauf hinweist, dass sie während des Verdampfungsvorgangs bzw. aus Materialien der E-Zigaretten erzeugt wurden. Dies steht im Einklang mit der Tatsache, dass die Pyrolyse von Glyzerin zur Bildung von Formaldehyd, Acetaldehyd und Acrolein führt [18]. Außerdem ist bekannt, dass Polysiloxane oft als Kunststoffadditive verwendet werden und die meisten E-Zigaretten der ersten Generation, darunter auch die in dieser Untersuchung verwendeten, sind mit Gehäusen aus Kunststoff hergestellt. Diese Befunde haben weitreichende Folgen für die weitere Beurteilung von E-Zigaretten, besonders angesichts der Tatsache, dass die Konsumenten letztlich den Dampf und nicht das Liquid der E-Zigaretten inhalieren.
Um dieses Thema genauer zu beleuchten: Acrolein ließ sich in den Liquids für E-Zigaretten nicht nachweisen. Es wurde jedoch im Dampf aller E-Zigaretten gefunden, die in der vorliegenden Studie untersucht wurden. Dabei bewegten sich die Acroleinkonzentrationen in einem Bereich von 1.5 bis 6.7 ppmv pro 40-mL-Zug (0.003–0.015 µg/mL), vergleichbar mit dem Wert von 0.004 µg/mL, den Goniewicz et al. [7] fanden. Um diese Konzentrationen besser einordnen zu können: sie übertrafen den Grenzwert für kurzzeitige Exposition (STEL, Short-term Exposure Limit) des National Institute of Occupational Safety and Health (NIOSH) von 350 ppbv. Darüber hinaus würde jede E-Zigarette unter Annahme eines 40-mL-Zugs und 400 bis 500 Zügen (diese Werte basieren auf Angaben verschiedener Hersteller von E-Zigaretten) pro E-Zigarette ungefähr 20 bis 230 µg Acrolein erzeugen. Aus gesundheitlicher Sicht betrachtet sind die in der vorliegenden Untersuchung beobachteten Acroleinemissionen vergleichbar mit den bei herkömmlichen Tabakzigaretten gefundenen Werten (3 bis 220 µg Acrolein pro Zigarette) [19]. Referenzstandards für Formaldehyd und Acetaldehyd waren zum Zeitpunkt der Veröffentlichung dieser Applikation nicht verfügbar. Ihre Peakflächen waren jedoch von derselben Größenordnung wie bei Acrolein, was auf vergleichbare Konzentrationen schließen lässt und auch den Ergebnissen von Goniewicz et al. entspricht [7].
Die U.S. Food and Drug Administration (FDA) hat zur Zeit keine rechtlichen Befugnisse bezüglich der Kontrolle von E-Zigaretten. Die FDA räumt jedoch ein, dass E-Zigaretten, die damit verbundenen Risiken, Nikotinkonzentrationen und potenziell schädliche Substanzen, die inhaliert werden, “noch nicht abschließend untersucht worden sind”. Die FDA hat deshalb eine Regelung vorgeschlagen, um ihre rechtlichen Befugnisse auf E-Zigaretten zu erweitern [20]. Ungeachtet des derzeitigen Status der FDA-Befugnis bezüglich E-Zigaretten, machen die vorliegende Studie wie auch frühere Forschungsarbeiten deutlich, dass die Problematik der E-Zigaretten noch nicht ausreichend verstanden wird. Aber es scheint klar zu sein, dass E-Zigaretten nicht ohne Risiken für die menschliche Gesundheit sind. Die wichtigste Erkenntnis, die auch durch die vorliegende Studie bestätigt wurde, ist, dass zukünftige Untersuchungen über E-Zigaretten unbedingt den Unterschied zwischen E-Liquids und dem Dampf aus E-Zigaretten berücksichtigen müssen, weil deren chemische Profile deutlich unterschiedlich sind.

GC_AR1161
Peaks
| Peaks | tR (min) | Match Quality | Vapor | Blank* | Region | |
|---|---|---|---|---|---|---|
| 1. | Nitrogen/oxygen | 0.685 | 100 | x | x | Red |
| 2. | Carbon dioxide | 1.063 | 100 | x | x | Red |
| 3. | Propene | 1.200 | 100 | x | Red | |
| 4. | Formaldehyde | 1.227 | 100 | x | Red | |
| 5. | Sulfur dioxide | 1.313 | 90 | x | Red | |
| 6. | Chloromethane | 1.380 | 100 | x | Red | |
| 7. | Water | 1.453 | 100 | x | x | Red |
| 8. | Acetaldehyde | 1.672 | 100 | x | Red | |
| 9. | Methanol | 1.715 | 100 | x | x | Red |
| 10. | Unidentified | 1.885 | x | Red | ||
| 11. | Ethanol | 2.270 | 100 | x | Red | |
| 12. | Unidentified | 2.331 | x | Red | ||
| 13. | Unidentified | 2.410 | x | Red | ||
| 14. | Acrolein | 2.581 | 100 | x | Red | |
| 15. | Propanal | 2.629 | 100 | x | Red | |
| 16. | Methylene chloride | 2.770 | 100 | x | x | Red |
| 17. | Acetone | 2.843 | 100 | x | Red | |
| 18. | Unidentified | 2.892 | x | Red | ||
| 19. | Hexane | 2.928 | 100 | x | Red | |
| 20. | Acetonitrile | 3.160 | 100 | x | x | Red |
| 21. | Unidentified | 3.544 | x | Orange | ||
| 22. | Unidentified | 3.842 | x | Orange | ||
| 23. | Trimethylsilanol | 3.928 | 100 | x | Orange | |
| 24. | Unidentified | 4.092 | x | Orange | ||
| 25. | Unidentified | 4.159 | x | Orange | ||
| 26. | Unidentified | 4.245 | x | Orange | ||
| 27. | Unidentified | 4.354 | x | Orange | ||
| 28. | Benzene | 4.452 | 100 | x | x | Orange |
| 29. | Unidentified | 4.519 | x | Orange | ||
| 30. | Acetic acid | 5.055 | 86 | x | Orange | |
| 31. | Unidentified | 5.141 | x | Orange | ||
| 32. | Unidentified | 5.647 | x | Orange | ||
| 33. | Unidentified | 5.756 | x | Orange | ||
| 34. | 1-Hydroxy-2-propanone | 6.073 | 80 | x | Orange | |
| 35. | Unidentified | 6.165 | x | Orange | ||
| 36. | Unidentified | 6.220 | x | Orange | ||
| 37. | Toluene | 6.280 | 100 | x | x | Orange |
| 38. | Hexamethylcyclotrisiloxane | 6.506 | 91 | x | Orange | |
| 39. | Unidentified | 7.231 | x | Orange | ||
| 40. | Unidentified | 7.530 | x | Orange | ||
| 41. | Propylene glycol | 7.737 | 100 | x | Green | |
| 42. | m-Xylene | 8.048 | 100 | x | Green | |
| 43. | p-Xylene | 8.048 | 100 | x | Green | |
| 44. | o-Xylene | 8.530 | 100 | x | Green | |
| 45. | Styrene | 8.597 | 100 | x | Green | |
| 46. | Unidentified | 9.158 | x | Green | ||
| 47. | Octamethylcyclotetrasiloxane | 9.218 | 91 | x | Green | |
| 48. | 4-Methyl-1-(1-methylethyl)cyclohexene | 9.371 | 95 | x | Green | |
| 49. | Unidentified | 9.639 | x | Green | ||
| 50. | Unidentified | 9.852 | x | Green | ||
| 51. | Unidentified | 9.932 | x | Green | ||
| 52. | Unidentified | 10.121 | x | Green | ||
| 53. | Unidentified | 10.219 | x | Green | ||
| 54. | Trimethylpyrazine | 10.468 | 80 | x | Green | |
| 55. | Benzaldehyde | 10.657 | 100 | x | Green | |
| 56. | Unidentified | 10.858 | x | Green | ||
| 57. | Unidentified | 11.120 | x | Green | ||
| 58. | Unidentified | 11.187 | x | Green | ||
| 59. | Acetylpyrazine | 11.541 | 93 | x | Green | |
| 60. | Decamethylcyclopentasiloxane | 11.620 | 91 | x | Green | |
| 61. | Phenol | 11.870 | 94 | x | Green | |
| 62. | Unidentified | 12.272 | x | Green | ||
| 63. | 1,1′-Oxybis-2-propanol | 12.333 | 90 | x | Green | |
| 64. | Glycerin | 12.748 | 100 | x | Blue | |
| 65. | Unidentified | 13.327 | x | Blue | ||
| 66. | Dodecamethylcyclohexasiloxane | 13.979 | 94 | x | Blue | |
| 67. | Nicotine | 15.862 | 100 | x | Blue | |
| 68. | Tetradecamethylhexasiloxane | 16.082 | 91 | x | Blue | |
| 69. | Unidentified | 16.326 | x | Blue | ||
| 70. | Unidentified | 16.460 | x | Blue | ||
| 71. | Myosmine | 17.216 | 94 | x | Blue | |
| 72. | Nicotyrine | 17.807 | 90 | x | Blue | |
| 73. | Unidentified | 18.002 | x | Blue | ||
| 74. | 2,3′-Dipyridyl | 18.618 | 94 | x | Blue | |
| 75. | Unidentified | 18.721 | x | Blue | ||
| 76. | Unidentified | 19.294 | x | Blue | ||
| 77. | Unidentified | 19.611 | x | Blue | ||
| 78. | Unidentified | 20.093 | x | Blue | ||
| 79. | Unidentified | 20.190 | x | Blue | ||
| 80. | Unidentified | 20.269 | x | Blue | ||
| 81. | Unidentified | 20.501 | x | Blue | ||
| 82. | Unidentified | 20.855 | x | Blue |
Conditions
| Column | Rtx-VMS, 30 m, 0.25 mm ID, 1.40 µm (cat.# 19915) |
|---|---|
| Standard/Sample | |
| Conc.: | One 40 mL puff of electronic cigarette vapor drawn via a gas-tight syringe to replicate vaping |
| Injection | Direct |
| Oven | |
| Oven Temp.: | 35 °C (hold 1 min) to 250 °C at 11 °C/min (hold 4 min) |
| Carrier Gas | He, constant flow |
| Flow Rate: | 2.0 mL/min @ 35 °C |
| Detector | MS | ||||||||
|---|---|---|---|---|---|---|---|---|---|
| Mode: | Scan | ||||||||
| Scan Program: | |||||||||
| |||||||||
| Transfer Line Temp.: | 250 °C | ||||||||
| Analyzer Type: | Quadrupole | ||||||||
| Source Type: | Extractor | ||||||||
| Extractor Lens: | 6mm ID | ||||||||
| Source Temp.: | 230 °C | ||||||||
| Quad Temp.: | 150 °C | ||||||||
| Electron Energy: | 70 eV | ||||||||
| Tune Type: | BFB | ||||||||
| Ionization Mode: | EI | ||||||||
| Preconcentrator | Markes UNITY™ | ||||||||
| Instrument | Agilent 7890B GC & 5977A MSD | ||||||||
| Acknowledgement | Markes | ||||||||
Blindproben
Die in leere Edelstahlröhrchen (d. h. ohne Sorbens) injizierten und mithilfe der TD-GC-MS-Methode analysierten 1-µL-Aliquote der E-Liquids führten zur Bildung von Formaldehyd, Acetaldehyd und Acrolein. Die Konzentrationen dieser drei Verbindungen erhöhten sich jedoch nicht, wenn 1-µL-Aliquote der E-Liquids in gefüllte Thermodesorptionsröhrchen (d. h. Mehrbett-Sorbens) injiziert und anschließend mithilfe der TD-GC-MS-Methode analysiert wurden. Diese beiden Beobachtungen decken sich mit der Hypothese, dass eine Pyrolyse von Propylenglykol und/oder Glyzerin innerhalb des TD-GC-MS-Systems selbst und nicht im Sorbens des Thermodesorptionsröhrchens (d. h. im Mehrbett-Sorbens) stattfand. Es war jedoch nicht klar, an welchem Punkt innerhalb des TD-GC-MS-Systems die Pyrolyse stattfand (d. h. in der Kühlfalle, während des ballistischen Aufheizens oder in den beheizten Transferlines). Trotzdem war die Pyrolyse für 14 bis 23% der in dieser Studie beobachteten Konzentrationen von Formaldehyd, Acetaldehyd und Acrolein im Dampf verantwortlich. Die oben erwähnten prozentualen Anteile wurden durch Vergleich der Carbonyl-/Nikotin-Verhältnisse aus den leeren Edelstahlröhrchen und den gefüllten Thermodesorptionsröhrchen mit den 40-mL-Zug-Proben abgeschätzt. Außerdem war die Laborluft manchmal eine Quelle für bestimmte VOCs; diese Konzentrationen (z.B. im unteren ppbv-Bereich) waren jedoch oft deutlich niedriger als die Konzentrationen in den E-Zigaretten (z.B. im unteren bis mittleren ppmv-Bereich). Zukünftige Forscher sollten sich der Gehalte ihrer Laborluft und der potenziellen Pyrolyse innerhalb des TD-GC-MS-Systems bewusst sein und entsprechende Anpassungen ihrer Grenzwerte und/oder des Systemuntergrunds vornehmen. Dies lag außerhalb des Umfangs der vorliegenden Arbeit; jedoch sollte man sich in Zukunft darauf konzentrieren, den Beitrag der Pyrolyse zu reduzieren, zum Beispiel durch Anpassung der Temperaturen der Transferlines, der Aufheizraten, der Flussraten usw.
Vorteile/Einschränkungen/Zukünftige Forschung
Wissenschaftler wie Goniewicz et al. verfügten über spezielle Rauchmaschinen, mit denen sich “realistische Rauchszenarien” simulieren ließen (z. B. ein 1.8 Sekunden langer Zug mit einem 10 Sekunden langen Intervall zwischen den Zügen). Diese Rauchszenarien verraten möglicherweise mehr über den Dampf von E-Zigaretten und sind vielleicht auch genauer als die in dieser Untersuchung verwendete einfache Probenahmevorrichtung (Abbildung 1). Dennoch ist die vorliegende Arbeit insofern bedeutsam, da sie zeigt, dass die verwendeten analytischen Methoden hinreichend empfindlich sind, um einen einzigen 40-mL-Zug zu analysieren. In diesem Zusammenhang ist zu beachten, dass ein Rauchszenario mit einem 4 Sekunden langen Zug und einem 10 Sekunden langen Intervall zwischen 10 Zügen mit der einfachen Probenahmevorrichtung (Abbildung 1) manuell durchgeführt wurde. Die Ergebnisse dieser Probe mit 10 Zügen sind in Abbildung 8 dargestellt. Diese Probe zeigte einige früh eluierende Verbindungen (eingestuft als identifiziert, vorläufig identifiziert und nicht identifiziert), die in der Probe mit nur einem Zug (Abbildung 7) nicht identifiziert wurden. Allerdings wurden die Peaks von Propylenglykol und Glyzerin, die in der Probe mit nur einem Zug bereits überladen waren, in der Probe mit 10 Zügen so groß, dass die meisten der vorher in der Probe mit nur einem Zug identifizierten Peaks aufgrund der Interferenz mit Propylenglykol und Glyzerin verloren gingen. Außerdem führte diese Überladung mit Propylenglykol und Glyzerin zur Kontamination des Thermodesorptionssystems Markes UNITY™, so dass eine zeitaufwändige Reinigung erforderlich war, um Verschleppungen zu vermeiden.
Wie bereits bei der Diskussion der Ergebnisse der Blindproben erwähnt, sollten sich zukünftige Forscher über die Pyrolysebedingungen innerhalb des TD-GC-MS-Systems und mögliche Auswirkungen auf die Konzentrationen von Formaldehyd, Acetaldehyd und Acrolein im Dampf bewusst sein. Für diese Carbonylverbindungen sind alternative Probenahme- und Analyseverfahren (z. B. DNPH-beschichtete feste Sorbentien) verfügbar, mit denen sich die Pyrolyseproblematik umgehen ließe. Sie haben jedoch den Nachteil, dass zeitaufwändige Lösemittelextraktionen erforderlich sind und dass es nicht möglich ist, in einem einzigen 40-mL-Zug eine derart große Anzahl von Verbindungen zu scannen (wie z. B. die 82 in dieser Studie beobachteten VOCs und SVOCs). Zukünftige Untersuchungen zum Dampf von E-Zigaretten sollten sich auf die Optimierung der Parameter zur thermischen Desorption konzentrieren, um deren Beitrag zur Pyrolyse durch Justierung der Temperaturen der Transferlines, der Aufheizraten, der Flussraten usw. zu reduzieren. Insgesamt ist die vorliegende Methode als einfach durchzuführendes und schnelles Screening-Verfahren für zahlreiche VOCs und SVOCs im Dampf von E-Zigaretten voraussichtlich gut geeignet.

GC_AR1162
Conditions
| Column | Rtx-VMS, 30 m, 0.25 mm ID, 1.40 µm (cat.# 19915) |
|---|---|
| Standard/Sample | |
| Conc.: | Ten 40 mL puffs of electronic cigarette vapor drawn via a gas-tight syringe to replicate vaping |
| Injection | Direct |
| Oven | |
| Oven Temp.: | 35 °C (hold 1 min) to 250 °C at 11 °C/min (hold 4 min) |
| Carrier Gas | He, constant flow |
| Flow Rate: | 2.0 mL/min @ 35 °C |
| Detector | MS | ||||||||
|---|---|---|---|---|---|---|---|---|---|
| Mode: | Scan | ||||||||
| Scan Program: | |||||||||
| |||||||||
| Transfer Line Temp.: | 250 °C | ||||||||
| Analyzer Type: | Quadrupole | ||||||||
| Source Type: | Extractor | ||||||||
| Extractor Lens: | 6mm ID | ||||||||
| Source Temp.: | 230 °C | ||||||||
| Quad Temp.: | 150 °C | ||||||||
| Electron Energy: | 70 eV | ||||||||
| Tune Type: | BFB | ||||||||
| Ionization Mode: | EI | ||||||||
| Preconcentrator | Markes UNITY™ | ||||||||
| Instrument | Agilent 7890B GC & 5977A MSD | ||||||||
| Acknowledgement | Markes | ||||||||
Schlussfolgerungen
Im Zuge der rasant steigenden Beliebtheit von E-Zigaretten wendet sich die öffentliche Aufmerksamkeit zunehmend dem Thema Verbraucherschutz zu. Während sich die Wissenschaft bis heute in erster Linie für die Bestandteile der E-Liquids interessierte, signalisieren die hier vorgelegten Daten einen Bedarf für eine deutlich verstärkte Forschung zum chemischen Profil des Dampfes aus E-Zigaretten. Zu diesem Zweck beschäftigte sich die vorliegende Untersuchung mit der Entwicklung von Analysemethoden für sowohl Liquids als auch für Dampfproben. Die drei im Rahmen dieser Studie entwickelten Methoden nutzten eine Rtx®-VMS-Säule, eine proprietäre Phase von Restek, die ausgewählt wurde, um die erforderlichen Ressourcen zu reduzieren und einen einfachen Vergleich der Ergebnisse zu ermöglichen.
Zur Bestimmung des Nikotingehalts der Liquids von E-Zigaretten wurden schnelle GC-FID-Methoden mit Helium oder Wasserstoff als Trägergas entwickelt. Diese Methoden wären für die schnelle Qualitätskontrolle von Liquids für elektronische Zigaretten geeignet. Außerdem wurde eine direkte GC-MS-Methode zur Bestimmung der Verunreinigungen in E-Zigaretten-Liquids entwickelt. Die Ergebnisse zeigten, dass die Liquids für E-Zigaretten neben den auf dem Etikett vom Anbieter angegebenen Verbindungen (Propylenglykol, Glyzerin und Nikotin) eine Vielzahl weiterer Substanzen enthielten. In dieser Untersuchung zeigten die Liquidprofile insgesamt 64 identifizierte (manche nur vorläufig) und nicht identifizierte Verbindungen, d. h. wesentlich mehr als die drei auf dem Produktetikett angegebenen Inhaltsstoffe.
Zur Analyse von Dampfproben wurde eine einfache, neuartige Probenahmevorrichtung entwickelt, um den Dampf der E-Zigaretten in ein Thermodesorptionsröhrchen zu ziehen, das anschließend thermisch extrahiert und mithilfe einer GC-MS-Methode analysiert wurde. Diese Methode lieferte nachweisbare Konzentrationen von 82 VOCs und SVOCs aus einem einzigen 40-mL-Zug und kann leicht in Labors eingesetzt werden, die nicht über eine Rauchmaschine verfügen. Es ist beachtenswert, dass einige der identifizierten Verbindungen bekanntermaßen schädlich für die menschliche Gesundheit sind. Diese Verbindungen wurden im Dampf, jedoch nicht im Liquid der E-Zigaretten nachgewiesen, was darauf hinweist, dass sie beim Verdampfungsprozess entstanden sind.
Es besteht kein Zweifel daran, dass die Liquids für E-Zigaretten und – noch wichtiger – der Dampf zahlreiche weitere Verbindungen enthalten als die, die auf dem Produktetikett angegeben sind. Da diese Verbindungen potenzielle Auswirkungen auf die menschliche Gesundheit haben, sollte die Wissenschaft sich intensiver mit der Untersuchung des Dampfes befassen. Die darin enthaltenen chemischen Substanzen sollten eindeutig identifiziert werden; außerdem sollte man untersuchen, wie typisches Nutzungsverhalten mit den vorhandenen Expositionsgrenzwerten für die menschliche Gesundheit korreliert.
Danksagung
Markes International Inc., 11126-D Kenwood Road, Cincinnati, OH 45242
Literatur
- A. Trtchounian, M. Williams, P. Talbot, Conventional and electronic cigarettes (e-cigarettes) have different smoking characteristics, Nicotine Tob Res 12 (2010) 905.
- C.J. Brown, J.M. Cheng, Electronic cigarettes: product characterisation and design considerations, Tob Control 23 Suppl 2 (2014) ii4.
- J.K. Pepper, T. Eissenberg, Waterpipes and Electronic Cigarettes: Increasing Prevalence and Expanding Science, Chemical Research in Toxicology 27 (2014) 1336.
- K.E. Farsalinos, G. Romagna, D. Tsiapras, S. Kyrzopoulos, V. Voudris, Evaluating nicotine levels selection and patterns of electronic cigarette use in a group of “vapers” who had achieved complete substitution of smoking, Subst Abuse 7 (2013) 139.
- C. Bullen, C. Howe, M. Laugesen, H. McRobbie, V. Parag, J. Williman, N. Walker, Electronic cigarettes for smoking cessation: a randomised controlled trial, Lancet 382 (2013) 1629.
- P. Caponnetto, D. Campagna, F. Cibella, J.B. Morjaria, M. Caruso, C. Russo, R. Polosa, EffiCiency and Safety of an eLectronic cigAreTte (ECLAT) as tobacco cigarettes substitute: a prospective 12-month randomized control design study, PLoS One 8 (2013) e66317.
- M.L. Goniewicz, J. Knysak, M. Gawron, L. Kosmider, A. Sobczak, J. Kurek, A. Prokopowicz, M. Jablonska-Czapla, C. Rosik-Dulewska, C. Havel, P. Jacob III, N. Benowitz, Levels of selected carcinogens and toxicants in vapour from electronic cigarettes, Tob Control 23 (2014) 133.
- W. Schober, K. Szendrei, W. Matzen, H. Osiander-Fuchs, D. Heitmann, T. Schettgen, R.A. Jorres, H. Fromme, Use of electronic cigarettes (e-cigarettes) impairs indoor air quality and increases FeNO levels of e-cigarette consumers, Int J Hyg Environ Health 217 (2014) 628.
- L. Kosmider, A. Sobczak, M. Fik, J. Knysak, M. Zaciera, J. Kurek, M.L., Goniewicz, Carbonyl compounds in electronic cigarette vapors: effects of nicotine solvent and battery output voltage, Nicotine Tob Res 16 (2014) 1319.
- E-Cig Reviews on the Best E-Cigarettes of 2014, Ecigarette Reviewed (2014). http://ecigarettereviewed.com (Accessed January 12, 2015).
- K.E. Farsalinos, R. Polosa, Safety evaluation and risk assessment of electronic cigarettes as tobacco cigarette substitutes: a systematic review, Ther Adv Drug Saf 5 (2014) 67.
- K.E. Farsalinos, G. Romagna, D. Tsiapras, S. Kyrzopoulos, V. Voudris, Evaluation of electronic cigarette use (vaping) topography and estimation of liquid consumption: implications for research protocol standards definition and for public health authorities’ regulation, Int J Environ Res Public Health 10 (2013) 2500.
- N. Ochiai, A. Tsuji, N. Nakamura, S. Daishima, D.B., Cardin, Stabilities of 58 volatile organic compounds in fused-silica-lined and SUMMA polished canisters under various humidified conditions, J Environ Monit 4 (2002) 879.
- NIST Mass Spectrometry Data Center, U.S. Department of Commerce, 2014.
- A. Rodgman, T.A. Perfetti, The Chemical Components of Tobacco and Tobacco Smoke, CRC Press, 2nd ed., 2013.
- V.J. Cogliano, Y. Grosse, R.A. Baan, K. Straif, M.B. Secretan, F. El Ghissassi, Meeting report: summary of IARC monographs on formaldehyde, 2-butoxyethanol, and 1-tert-butoxy-2-propanol., Environ Health Perspect 113 (2005) 1205.
- IARC Working Group Lyon, 13-20 October 1987, Alcohol drinking, IARC Monogr Eval Carcinog Risks Hum 44 (1988) 1.
- Y.S. Stein, M.J. Antal, M. Jones, A study of the gas-phase pyrolysis of glycerol, Appl Pyrolysis, 4 (1983) 283.
- Toxicological Profile for Acrolein, Agency for Toxic Substances and Disease Registry, U.S. Department of Health and Human Services, Atlanta, 2007.
- Electronic Cigarettes (e-Cigarettes), U.S. Food and Drug Administration (2014) (Accessed January 13, 2015).

