Notes d’application

Rapid and Accurate LC-MS/MS Analysis of Nicotine and Related Compounds in Urine Using Raptor Biphenyl LC Columns and MS-Friendly Mobile Phases

26 Oct 2020

feature CFAN2216

Abstract

A rapid, accurate, and reproducible method was developed for high-throughput testing of nicotine, cotinine, trans-3’-hydroxycotinine, nornicotine, norcotinine, and anabasine in urine. Data show that a fast and highly efficient analysis of these basic compounds can be achieved with the Raptor Biphenyl column using standard low-pH, reversed-phase LC-MS mobile phases that are compatible with a variety of LC-MS instrumentation.

Introduction

Nicotine is the major tobacco alkaloid that underlies addiction in tobacco users. Anabasine and anatabine are the most abundant minor alkaloids in tobacco [1]. Anabasine is frequently used as a unique marker for recent tobacco use as it can only be detected in the urine of tobacco users and is not present in the urine of those who use nicotine replacement therapies (e.g., nicotine patches). In humans, more than 70% of nicotine is transformed to cotinine, which is subsequently converted to trans-3’-hydroxycotinine, the main nicotine metabolite detected in urine [2]. Nornicotine and norcotinine are minor metabolites (0.5–2%) produced by the demethylation of nicotine and cotinine, respectively. The urinary measurement of nicotine metabolites has several applications, including public tobacco exposure monitoring, nicotine replacement therapy evaluation, drug therapy assessment, forensic toxicology analysis, and life or health insurance application. In addition, nicotine metabolites can be used as the biomarkers for pharmacogenomics evaluation and disease profiling [3].

A variety of chromatographic methods have been developed for nicotine metabolite analysis. However, most methods use high-pH chromatography with relatively high concentrations of additives to increase retention, improve peak shape, and reduce peak tailing. The intent of this application was to develop a method for the analysis of nicotine-related compounds in urine using solutions that are “friendly” to LC-MS/MS systems. A Raptor Biphenyl column was chosen as the analytical column because it provides good retention and peak shape for the target analytes when used with standard low-pH, reversed-phase mobile phases. The clinical applicability of this method was demonstrated by the accurate and reproducible analysis of fortified analytes in urine.

Experimental

Instrument and Analytical Conditions

The instrument and analytical conditions are listed in Table I. The analyte MRMs are shown in Table II.

Table I: Analytical Conditions for Waters Xevo TQ-S with Acquity UPLC

Analytical ColumnRaptor Biphenyl 5 µm
100 mm x 2.1 mm (cat.# 9309512)
Guard ColumnRaptor Biphenyl EXP guard column cartridge
5 µm, 5 mm x 2.1 mm (cat.# 930950252) EXP direct connect holder (cat.# 25808)
Injection Volume5 µL
Mobile Phase A0.1% Formic acid, 5 mM ammonium formate in water
Mobile Phase B0.1% Formic acid in methanol
GradientTime (min)%B
0.010
1.010
2.030
3.070
3.0110
5.010
Flow Rate0.4 mL/min
Column Temp.30 °C
Ion ModePositive ESI
Capillary Voltage1.0 kV
Gas Flow1,000 (L/Hr) desolvation
150 (L/Hr) cone
7.0 (bar) nebulizer
Desolvation Temp450 °C

Table II: Analyte MS/MS Transitions

AnalytePrecursor IonProduct Ion QuantifierProduct Ion Qualifier
Nornicotine149.1080.05105.89
Nornicotine-D4153.1784.03
Norcotinine163.0980.05135.10
Norcotinine-13C3166.2280.05
Nicotine163.15132.10117.07
Nicotine-D4167.16136.64
Cotinine177.1298.07146.09
Cotinine-D3180.20101.07
trans-3’-Hydroxycotinine193.1280.05134.12
trans-3’-Hydroxycotinine-D3196.1980.05
Anabasine163.1391.63120.12
Anabasine-D4167.2096.19

Sample/Calibration Standard Preparation

Blank urine from an unexposed non-tobacco user was fortified to prepare calibration standards and fortified QC samples. A 5,000 ng/mL standard mix was prepared in urine and diluted with urine to make calibration standards at 2, 5, 10, 25, 50, 100, 250, 500, 1,000, 2,500, and 5,000 ng/mL (only continine and trans-3′-hydroxycotinine were tested at 2,500 and 5,000 ng/mL levels). Three levels of QC samples (7.5, 75, and 750 ng/mL for nicotine, nornicotine, norcotinine, and anabasine; 75, 750, and 10,000 ng/mL for cotinine and trans-3′-hydroxycotinine) were prepared in urine for accuracy and precision testing. The 10,000 ng/mL QC sample for cotinine and trans-3′-hydroxycotinine was diluted 5-fold in water before the sample preparation procedure. Analyses were performed on three different days.

All fortified standards and QC samples were processed according to the following liquid-liquid extraction (LLE) procedure.

  1. Mix a 250 µL aliquot of urine with 40 µL of internal standard solution (250 ng/mL in methanol) and 50 µL of 5 N sodium hydroxide in a 4 mL glass vial.
  2. Extract by adding 1.5 mL of 50:50 methylene chloride:diethyl ether and stirring for 1.5 minutes.
  3. Centrifuge at 4,000 rpm for 5 minutes, then transfer 1 mL of the organic phase to a 1.5 mL HPLC vial and mix with 10 µL of 0.25 N hydrochloric acid.
  4. Evaporate to dryness at 35 °C under a gentle stream of nitrogen.
  5. Reconstitute the dried extract with 200 µL of water.

Results and Discussion

Since nicotine, norcotinine, and anabasine all share the same mass transitions, it is necessary to chromatographically separate these three compounds for accurate quantitation. As shown in Figure 1, baseline resolution was obtained for nicotine, norcotinine, and anabasine with the Raptor Biphenyl column. Simultaneous analysis of all six analytes was performed with a fast 3-minute gradient and a 5-minute total analysis time for each injection. Note that good peak shape was obtained for all analytes with the use of standard, low-pH, reversed-phase mobile phases. The Raptor Biphenyl column allowed an MS-friendly mobile phase to be used without any evidence of the peak tailing that is often observed in the analysis of these basic compounds, unless high-pH mobile phases with higher concentrations of additives are used.

Figure 1: Good chromatographic separations and peak shapes for nicotine-related compounds were achieved using the Raptor Biphenyl column and a simple, low pH, MS-friendly mobile phase.
Nicotine-Related Compounds in Urine on Raptor Biphenyl by LC-MS/MS

LC_CF0606

Peaks

PeakstR (min)Precursor IonProduct Ion
1.Nornicotine1.25149.1080.05
2.Norcotinine1.81163.0980.05
3.trans-3′-Hydroxycotinine1.88193.1280.05
4.Nicotine1.95163.15132.10
5.Anabasine2.20163.1391.63
6.Cotinine2.88177.1298.07

Conditions

ColumnRaptor Biphenyl (cat.# 9309512)
Dimensions:100 mm x 2.1 mm ID
Particle Size:5 µm
Pore Size:90 Å
Guard Column:Raptor Biphenyl EXP cartridges 5 mm, 2.1 mm ID, 5 µm (cat.# 930950252)
Temp.:30 °C
Standard/Sample
Diluent:Water
Conc.:25 ng/mL (fortified human urine)
Inj. Vol.:5 µL
Mobile Phase
A:0.1% Formic acid, 5 mM ammonium formate in water
B:0.1% Formic acid in methanol
Time (min)Flow (mL/min)%A%B
0.000.49010
1.000.49010
2.000.47030
3.000.43070
3.010.49010
5.000.49010
DetectorMS/MS
Ion Mode:ESI+
Mode:MRM
InstrumentUHPLC
Sample PreparationThe urine from a non-tobacco user was fortified with analytes to a final concentration of 25 ng/mL and prepared by a liquid-liquid extraction method. A 250 μL urine sample was mixed with 50 μL of 5N NaOH and extracted with 1.5 mL of 50/50 methylene chloride/diethyl ether. A portion of organic phase (1.0 mL) was dried and reconstituted with 200 μL of water for analysis.

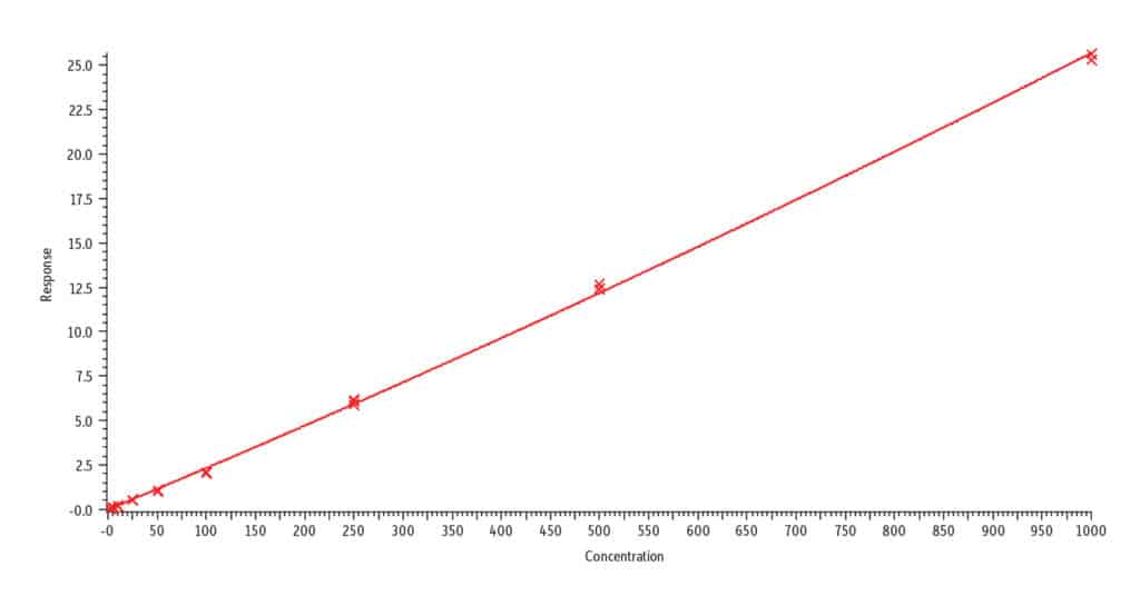
Analysis of blank urine samples spiked with internal standards and subjected to the extraction procedure confirmed there were no significant matrix interferences for the target analytes (Figure 2). Analysis of the calibration standards established the linear ranges for each compound as 2-1,000 ng/mL (nicotine, nornicotine, norcotinine, and anabasine); 5-5,000 ng/mL (cotinine); and 10-5,000 ng/mL (trans-3’-hydroxycotinine). To achieve detection across these wide concentration ranges, a detuning of the MS detector was necessary for all analytes in order to avoid saturation of the MS signal at the highest concentration. It was determined that a 1/x weighted quadratic regression gave the best and most consistent fit for all analytes, except anabasine. For anabasine, a 1/x2 weighted linear regression provided the best fit. As shown in Figure 3, r2 was ≥ 0.995 for all analytes, and the percent deviation was within 15% of the nominal concentration (≤ 20% for the lowest concentrated standard). Based on the signal-to-noise value for the 10 ng/mL standard, the LLOQ is estimated to be 0.4 ng/mL for all analytes.

Figure 2: Chromatographic analysis of blank urine fortified with internal standards confirmed that no significant matrix interferences were present in the samples.
Specificity for Nicotine-Related Compounds on Raptor Biphenyl

LC_CF0628

Conditions

ColumnRaptor Biphenyl (cat.# 9309512)
Dimensions:100 mm x 2.1 mm ID
Particle Size:5 µm
Pore Size:90 Å
Guard Column:Raptor Biphenyl EXP guard cartridge 5 mm, 2.1 mm ID, 5 µm (cat.# 930950252)
Temp.:30 °C
Standard/Sample
Diluent:Water
Conc.: Blank human urine with internal standards
Inj. Vol.:5 µL
Mobile Phase
A:0.1% Formic acid, 5 mM ammonium formate in water
B:0.1% Formic acid in methanol
Time (min)Flow (mL/min)%A%B
0.000.49010
10.49010
20.47030
30.43070
3.010.49010
50.49010
DetectorMS/MS
Ion Mode:ESI+
Mode:MRM
InstrumentUHPLC
Sample PreparationSamples were processed with a liquid-liquid extraction (LLE) procedure. An aliquot of 250 µL urine was mixed with 40 µL of internal standard solution (250 ng/mL in methanol) and 50 µL of 5N sodium hydroxide in a 4 mL glass vial. Extraction was performed by adding 1.5 mL of 50:50 methylene chloride:diethyl ether and stirring for 1.5 minutes. After centrifugation at 4000 rpm for 5 minutes, 1 mL of the organic phase was transferred to a 1.5 mL HPLC vial and mixed with 10 µL of 0.25 N hydrochloric acid before evaporating to dryness at 35 °C under a gentle stream of nitrogen. The dried extract was reconstituted with 200 µL of water.
Figure 3: Good linear responses were obtained for all analytes using weighted regression.

A. Nornicotine, r2 = 0.999

figure article CFAN2216 01

B. Norcotinine, r2 = 0.999

figure article CFAN2216 02

C. trans-3’-Hydroxycotinine, r2 = 0.999

figure article CFAN2216 03

D. Nicotine, r2 = 0.997

figure article CFAN2216 04

E. Anabasine, r2 = 0.995

figure article CFAN2216 05

F. Cotinine, r2 = 0.999

figure article CFAN2216 06

Method accuracy was demonstrated using percent recovery and these values fell well within 10% of the nominal concentration for all QC levels (93.8–104.9%). Good method precision was also obtained, as indicated by %RSD ranges of 0.6-8.2% and 1.4-9.9% for intraday and interday results respectively. The interday accuracy and precision data are summarized in Table III.

The minor tobacco alkaloid, anabasine, can only be detected in the urine of current tobacco users; it is not present in the urine of non-smokers or nicotine patch/gum users. Using the method established here, specific and sensitive urinary analysis of anabasine was used to distinguish different types of tobacco users. As shown in Figure 4, different levels of anabasine were detected from a light smoker, a moderate smoker, and a non-smoking nicotine patch user.

Table III: Results from fortified samples demonstrate the method was both accurate and precise for all compounds at all QC levels.

AnalyteQC-1 (7.5 ng/mL)QC-2 (75 ng/mL)QC-3 (750 ng/mL)QC-4 (10,000 ng/mL)
Avg. Conc. (ng/mL)Avg. Accuracy%RSDAvg. Conc. (ng/mL)Avg. Accuracy%RSDAvg. Conc. (ng/mL)Avg. Accuracy%RSDAvg. Conc. (ng/mL)Avg. Accuracy%RSD
Nicotine7.520100.34.271.5295.48.1779.0103.96.6
Nornicotine7.568100.97.675.63100.86.6754.9100.73.8
Norcotinine7.546100.65.375.08100.19.9786.5104.94.0
Anabasine7.18195.83.473.5398.04.9778.1103.73.8
Cotinine73.8298.46.3774.6103.34.710,076100.82.3
trans-3’-Hydroxycotinine72.3196.42.7730.097.31.49,37993.84.6
Figure 4: Specific detection of anabasine made it possible to distinguish different types of tobacco/nicotine product use.
Specific Anabasine Detection in the Urine of Tobacco Users on Raptor Biphenyl

LC_CF0624

Conditions

ColumnRaptor Biphenyl (cat.# 9309512)
Dimensions:100 mm x 2.1 mm ID
Particle Size:5 µm
Pore Size:90 Å
Guard Column:Raptor Biphenyl EXP guard cartridge 5 mm, 2.1 mm ID, 5 µm (cat.# 930950252)
Temp.:30 °C
Standard/Sample
Diluent:Water
Conc.: Unknown concentration in human urine sample
Inj. Vol.:5 µL
Mobile Phase
A:0.1% Formic acid, 5 mM ammonium formate in water
B:0.1% Formic acid in methanol
Time (min)Flow (mL/min)%A%B
0.000.49010
10.49010
20.47030
30.43070
3.010.49010
50.49010
DetectorMS/MS
Ion Source:Waters Zspray ESI
Ion Mode:ESI+
InstrumentUHPLC
Sample PreparationSamples were processed with a liquid-liquid extraction (LLE) procedure. An aliquot of 250 µL urine was mixed with 40 µL of internal standard solution (250 ng/mL in methanol) and 50 µL of 5N sodium hydroxide in a 4 mL glass vial. Extraction was performed by adding 1.5 mL of 50:50 methylene chloride:diethyl ether and stirring for 1.5 minutes. After centrifugation at 4000 rpm for 5 minutes, 1 mL of the organic phase was transferred to a 1.5 mL HPLC vial and mixed with 10 µL of 0.25 N hydrochloric acid before evaporating to dryness at 35 °C under a gentle stream of nitrogen. The dried extract was reconstituted with 200 µL of water.

Conclusions

While many current methods for the analysis of nicotine-related compounds require the use of high-pH mobile phases with additives that may damage the analytical system, the method established here using the Raptor Biphenyl column produced good results using a simple, MS-friendly mobile phase. The method provided excellent performance for the simultaneous analysis of nicotine, two major metabolites (cotinine and trans-3’-hydroxycotinine), two minor metabolites (nornicotine and norcotinine), and a minor tobacco alkaloid, anabasine, in human urine. Accurate and reproducible analysis was achieved in less than 5 minutes of chromatographic analysis time, making the column and method well suited to low-cost, high-throughput analysis of nicotine-related compounds.

References

  1. P. Jacob, L. Yu, A.T. Shulgin, N.L. Benowitz, Minor tobacco alkaloids as biomarkers for tobacco use: comparison of users of cigarettes, smokeless tobacco, cigars, and pipes, Am J Public Health, 89 (5) (1999) 731–736.
  2. N.L. Benowitz, J. Hukkanen, P. Jacob, Nicotine chemistry, metabolism, kinetics and biomarkers, Handb Exp Pharmacol, 192 (2009) 29–60.
  3. K.S. Derby, K.C.C. Caberto, S.G. Carmella, A.A. Franke, S.S. Hecht, Nicotine metabolism in three ethnic/racial groups with different risks of lung cancer, Cancer Epidemiol Biomarker Prev, 17 (2008) 3,526–3,535.

Products Mentioned


Colonnes Raptor Biphenyl, 5µm 100 x 2,1mm
Cartouche de garde Raptor Biphenyl EXP, 5 µm, L 5 x DI 2.1 mm, lot de 3
Support de cartouche à connexion directe EXP, livré avec un écrou et 2 ferrules

Author

  • Shun-Hsin Liang, PhD

    Shun-Hsin is a senior principal scientist in LC Solutions at Restek. He received his bachelor’s degree from the National Taiwan University in 1988 and obtained his PhD from Michigan State University in 1996. He performed postdoctoral research at the University of Michigan from 1996 to 2000 for oncology studies. In 2001, he was appointed as research faculty at The Pennsylvania State University and focused on molecular toxicology research. In 2006, he joined MPI Research Inc. as a senior research scientist and was a study director for GLP analytical projects. In 2013, Dr. Liang joined the LC Solutions department at Restek and specialized in developing application methods across the fields of environmental, food safety, and life sciences.

    View all posts
CFAN2216