- Découvrez les avantages de la technique QuEChERS pour les types d’analytes et d’échantillons les plus complexes.
- Simplifiez votre développement de méthodes avec des stratégies efficaces d’extraction et de purification de vos échantillons.
- Améliorez les performances de vos méthodes en utilisant les sels et adsorbants dSPE appropriés aux différentes applications.
L’une des plus grandes difficultés à laquelle sont confrontés les laboratoires de sécurité alimentaire réside dans la grande variété de pesticides à analyser dans de nombreux types d’échantillons différents. Il n’existe pas de méthode idéale et universelle mais, l’approche QuEChERS est avantageuse car elle peut facilement s’adapter aux différents types d’échantillons et listes d’analytes. La préparation des échantillons par la technique QuEChERS est plus rapide, plus simple et moins onéreuse qu’avec des méthodes d’extraction liquide-liquide ou SPE. Et comme la technique QuEChERS est facile à modifier, elle peut être très efficace pour une grande variété d’échantillons et de structures chimiques des analytes.
À l’origine, la technique QuEChERS a été mise au point pour l’analyse des pesticides dans des matrices à forte teneur en eau, mais elle a été adaptée avec succès à une large gamme d’échantillons. La première étape d’optimisation des méthodes QuEChERS consiste à caractériser la matrice de l’échantillon. Contient-elle peu ou beaucoup d’eau, de sucres, de matières grasses, de pigments…? Quel est son pH ? Etc. Pour les denrées comme le céleri, qui contiennent beaucoup d’eau et peu de lipides, de pigments ou d’autres interférents, une simple extraction 1:1 avec de l’acétonitrile puis une purification avec un adsorbant dSPE standard (sulfate de magnésium et PSA) peut suffire. Toutefois, pour des matrices contenant peu d’eau mais beaucoup de matières grasses comme l’avocat, il sera probablement nécessaire de modifier la procédure d’extraction en ajoutant de l’eau. De la même manière, pour purifier des extraits d’avocat, un adsorbant dSPE contenant du C18 éliminera plus efficacement les interférences lipidiques que les adsorbants n’en contenant pas.
Pour profiter au maximum des avantages de la technique QuEChERS, il est important d’optimiser les méthodes de manière efficace en fonction des matrices, plutôt que d’utiliser une approche générique quel que soit le type d’échantillon. Une recherche bibliographique est un bon point de départ, mais le meilleur moyen d’établir des procédures qui garantissent des résultats précis pour vos échantillons à tous les coups est de réaliser des expériences préliminaires comme celles qui sont décrites ici. Dans cet article, nous explorons comment utiliser la technique QuEChERS le plus efficacement possible pour le céleri, les épinards, l’orange, l’avocat, la farine de riz brun et le miel, et nous montrons comment évaluer et modifier les méthodes QuEChERS pour améliorer la récupération des pesticides dans ces types d’échantillons très différents.
Optimisation de l’extraction et de la purification par dSPE de la technique QuEChERS
Il existe trois méthodes QuEChERS standards utilisées couramment : la méthode originale sans tampon [1] et deux méthodes avec tampon, une méthode AOAC [2] et une méthode européenne EN [3]. Les trois méthodes se composent de deux étapes primaires : l’extraction de l’échantillon puis la purification par dSPE de l’extrait obtenu. Il convient d’optimiser ces deux étapes pour obtenir les meilleurs résultats. Toutefois, avant d’optimiser l’extraction et la purification d’une méthode QuEChERS, nous devons déterminer si les échantillons à faible teneur en eau doivent être modifiés.
Modifications pour les échantillons à faible teneur en eau
L’eau est un élément critique pour les extractions QuEChERS car sa présence permet aux analytes présents dans l’échantillon de devenir accessibles pour le solvant d’extraction miscible avec l’eau (habituellement, de l’acétonitrile). Les échantillons à forte teneur en eau sont souvent suffisamment humides” pour permettre l’extraction. En revanche, il faut ajouter de l’eau dans les échantillons plus “secs”, sinon l’extraction sera incomplète et la récupération risque d’être mauvaise. Généralement, l’eau doit être présente selon un rapport de 1:1 avec le solvant d’extraction donc la quantité d’eau intrinsèquement présente dans les matrices devra être complétée de manière à obtenir ce rapport (généralement, une quantité totale de 10 à 15 ml d’eau est nécessaire pour l’extraction). Que l’ajout d’eau soit nécessaire ou pas, tous les échantillons doivent être homogénéisés correctement pour s’assurer de résultats représentatifs.
En plus d’ajouter de l’eau aux échantillons “secs”, les laboratoires devront peut-être aussi déterminer s’il convient d’utiliser une quantité d’échantillon plus faible. Dans notre optimisation de la technique QuEChERS, nous évaluons deux échantillons à faible teneur en eau : la farine de riz brun et l’avocat. Pour la farine de riz brun, nous avons testé deux quantités d’échantillon différentes et (en retenant l’hypothèse d’une teneur en eau quasi nulle) ajouté 10 ml d’eau à chacune. Pour l’avocat, nous avons pris en compte une teneur en eau d’environ 70% dans l’échantillon et avons ajouté 3 ml d’eau à notre échantillon de 10 g. Nous avons également essayé une autre approche pour l’avocat, dans laquelle nous avons modifié la quantité d’échantillon et le volume d’eau ajouté (Tableau I).
Tableau I : Modifications des échantillons et de la quantité d’eau pour l’extraction QuEChERS des denrées à faible teneur en eau.
|
Échantillon (Méthode) |
Quantité d’échantillon (g) |
Eau ajoutée (mL) |
Acétonitrile (mL) |
|
Farine de riz brun (méthode 1) |
10 |
10 |
10 |
|
Farine de riz brun (méthode 2) |
5 |
10 |
10 |
|
Avocat (méthode 1) |
10 |
3 |
10 |
|
Avocat (méthode 2) |
5 |
6 |
10 |
Les performances de la méthode ont été testées au moyen de la solution-étalon QuEChERS (réf. 31152), et l’extraction a été réalisée au moyen de sels sans tampon (réf. 25848) pour les échantillons de farine et de sels EN (réf. 25850) pour l’avocat. Cette solution-étalon QuEChERS a été choisie car elle contient 40 pesticides organochlorés, organo-azotés, organophosphorés et carbamates dont les caractéristiques chimiques varient (volatils, polaires, actifs, sensibles aux bases et non volatils), ce qui permet d’évaluer les performances de la méthode pour une large gamme de chimies de composés en utilisant un nombre gérable d’analytes représentatifs.
La Figure 1 montre qu’une simple comparaison des récupérations brutes (aire de l’analyte:aire du standard interne) est un moyen rapide de déterminer si les performances d’une méthode sont meilleures que celles d’une autre. Dans le cas de la farine de riz brun, la méthode 2 (quantité d’échantillon réduite) a donné des récupérations légèrement meilleures pour la bifenthrine, le cyprodinil et le DDT mais les performances étaient très similaires pour les autres analytes. Le fait que ces échantillons étaient bien plus faciles à traiter de façon consistante est un autre avantage de la méthode 2. En effet, de par leur quantité utilisée plus faible, il était plus facile de secouer parfaitement les échantillons et d’éliminer proprement le surnageant. Pour l’avocat, la méthode 1 (10 g d’avocat, 3 ml d’eau) a fourni de meilleurs résultats pour le diméthoate et la méthode 2 (5 g d’avocat, 6 ml d’eau) a fourni de meilleures réponses pour la bifenthrine. Sinon, les deux méthodes offraient les mêmes performances pour la plupart des pesticides, ce qui signifie que l’une ou l’autre de ces modifications de quantité et de teneur en eau devraient bien fonctionner pour la plupart des composés.

Choix des sels d’extraction
Lorsque les modifications nécessaires concernant la quantité d’échantillon et l’ajout d’eau ont été apportées pour les échantillons “secs”, l’étape suivante pour déterminer comment utiliser la technique QuEChERS de manière optimale pour différents types d’échantillons consiste à choisir le sel d’extraction qui fonctionnera le mieux pour chacun. Les sels d’extraction améliorent l’efficacité de l’extraction en transférant les analytes de l’échantillon aqueux vers le solvant organique. Le choix entre les sels de la méthode originale sans tampon et les sels des méthodes avec tampon doit se faire en fonction du pH attendu de l’extrait final et de la sensibilité au pH des analytes cibles. Les sels sans tampon fonctionnent bien pour la plupart des analytes. Toutefois, si les analytes critiques sont instables à certains pH, une méthode avec tampon qui maintient le pH nécessaire générera des résultats plus précis pour les pesticides sensibles au pH. Dans les méthodes avec tampon, les sels AOAC sont légèrement acides et tamponnent l’extrait final à un pH d’environ 4.75, tandis que les sels EN sont un peu plus neutres et tamponnent l’extrait à 5.0 – 5.5. Il est à noter qu’avec les sels sans tampon, le pH de l’extrait final est en grande partie déterminé par le pH de l’échantillon.
Pour nos expériences sur l’optimisation des sels d’extraction QuEChERS, nous avons à nouveau utilisé la solution-étalon QuEChERS (réf. 31152) car elle contient une large gamme de composés indicateurs. C’est un bon choix pour évaluer les pesticides représentatifs sans avoir à analyser un nombre excessif de composés. Ensuite, nous avons extrait chaque échantillon au moyen de sels sans tampon (réf. 25848), de sels AOAC (réf. 25852), et de sels EN (réf. 25850). Pour permettre une observation des différences entre les sels, nous avons fait une moyenne des réponses de tous les pesticides pour chaque matrice puis normalisé les résultats pour chacune des méthodes avec tampon par rapport à la méthode originale sans tampon. Les résultats sont présentés de deux façons : une comparaison pour chaque échantillon (Figure 2) et une comparaison des sels eux-mêmes (Figure 3). Cela nous permet de déterminer le meilleur sel pour chaque type d’échantillon (optimisation pour le type d’échantillon) et de savoir quel sel donne les meilleurs résultats sur l’ensemble des échantillons (quel sel est le plus “universel”).
L’approche adoptée dans la Figure 2 est utile pour évaluer ce qui fonctionne le mieux pour une matrice spécifique. Il apparaît clairement que pour le céleri, les épinards et l’avocat, les sels AOAC ont généré une réponse bien plus élevée et qu’ils seraient privilégiés pour développer une méthode vraiment optimisée pour une matrice donnée. Les autres résultats étaient similaires et ont montré des différences modestes dans la plupart des cas. Toutefois, l’utilisation de l’un ou l’autre des sels avec tampon a généralement donné une meilleure réponse que les sels sans tampon.
La Figure 3 présente les mêmes résultats, mais organisés différemment. Cette vue est utile pour comparer directement les sels car elle permet de voir plus facilement lesquels offrent les meilleures performances sur l’ensemble des matrices. Cette approche est utile dans la mise au point de méthodes de “screening”, afin de savoir quel sel est le meilleur pour l’ensemble des types d’échantillons. Dans cette vue, il est plus facile de voir que les sels AOAC produisent globalement les meilleures réponses pour les pesticides.


Les Figures 2 et 3 présentent deux vues globales car les réponses pour tous les composés sont rassemblées dans une moyenne. Si la méthode doit être développée pour des pesticides en particulier, il est essentiel d’évaluer leurs résultats individuellement. Il peut être utile de savoir quels pesticides sont couramment utilisés sur chaque culture pour permettre de regarder spécifiquement les performances de ces composés lors de l’optimisation des expériences QuEChERS. La Figure 4 est une évaluation plus détaillée des pesticides dans le miel. Dans ce cas, nous évaluons les taux de réponse bruts (non normalisés) pour chacun des pesticides présents dans notre mélange-test. Le tableau du haut montre que pour la plupart des composés, le choix des sels ne produit pas de différence notable. Mais dans le tableau du bas, où l’on se focalise sur les pesticides choisis, le choix du sel d’extraction a un gros effet pour le dicofol dont la réponse est bien plus élevée en utilisant les sels AOAC. Si le dicofol est un analyte critique, les sels AOAC doivent clairement être privilégiés.

Choisir une purification dSPE
Une fois le sel d’extraction choisi, l’étape suivante pour déterminer comment utiliser la technique QuEChERS de manière optimale consiste à choisir l’adsorbant dSPE à utiliser pour la purification de l’extrait. De nombreux produits dSPE existent et chacun contient différentes combinaisons d’adsorbants (type et quantité) qui éliminent l’excès d’eau et les interférences spécifiques des extraits. La clé dans l’optimisation de la purification QuEChERS réside dans la sélection des adsorbants qui élimineront efficacement les différentes interférences présentes dans les différents échantillons. L’objectif est d’obtenir une purification efficace qui élimine les interférences mais laisse les analytes cibles intacts dans l’extrait.
Le Tableau II montre les combinaisons d’adsorbants recommandées pour différents types d’échantillons. Le sulfate de magnésium et le matériau PSA (pour Primary and Secondary Amine exchange) sont utilisés pour éliminer l’eau (MgSO4), ainsi que les sucres, les acides gras et les acides organiques (PSA) qui peuvent provoquer des interférences lors des analyses. L’utilisation de C18 est recommandée pour éliminer les lipides dans les échantillons à forte teneur en matières grasses, et le carbone graphitisé (GCB) est recommandé pour éliminer les pigments. Le choix de l’adsorbant doit se faire en fonction des types de contaminants présents dans chaque échantillon afin de réduire au minimum l’élimination concomitante d’analytes cibles. Par exemple, si le GCB élimine efficacement les pigments, il peut également éliminer les pesticides planaires comme le chlorothalonil et le thiabendazole. Le choix des produits dSPE appropriés sera guidé par la prise en compte du type et de la quantité relative des composés de la matrice qui doivent être éliminés des extraits avant l’analyse.
Tableau II : Une large gamme de combinaisons d’adsorbants dSPE est disponible pour éliminer le plus efficacement possible les différentes interférences analytiques présentes dans divers types d’échantillons.
| Méthode | Quantité d’adsorbant (mg) | Informations sur le produit | ||||
| MgSO₄ | PSA* | C18-EC | GCB** | Volume du flacon (mL) | Cat.# | |
| Removes | ||||||
| Excès d’eau | Sucres, acides gras, acides organiques, pigments d’anthocyane | Lipides, interférences apolaires | Pigments, stérols, interférences apolaires | |||
| Type d’échantillon : fruits et légumes en général Exemples : céleri, laitue, concombre, melon |
||||||
| AOAC 2007.01 | 150 | 50 | – | – | 2 | 26124 |
| Originale sans tampon, EN 15662, mini-multirésidus | 150 | 25 | – | – | 2 | 26215 |
| AOAC 2007.01 | 1200 | 400 | – | – | 15 | 26220 |
| Originale sans tampon, EN 15662 | 900 | 150 | – | – | 15 | 26223 |
| Type d’échantillon : aliments contenant des matières grasses et des cires Exemples : céréales, avocat, noix, graines et produits laitiers |
||||||
| Mini-multirésidus | 150 | 25 | 25 | – | 2 | 26216 |
| – | 150 | – | 50 | – | 2 | 26242 |
| AOAC 2007.01 | 150 | 50 | 50 | – | 2 | 26125 |
| AOAC 2007.01 | 1200 | 400 | 400 | – | 15 | 26221 |
| – | 1200 | – | 400 | – | 15 | 26244 |
| – | 900 | 150 | 150 | – | 15 | 26226 |
| Type d’échantillon : fruits et légumes riches en pigments Exemples : fraises, patates douces, tomates |
||||||
| Mini-multirésidus, EN 15662 | 150 | 25 | – | 2.5 | 2 | 26217 |
| AOAC 2007.01 | 150 | 50 | – | 50 | 2 | 26123 |
| AOAC 2007.01 | 1200 | 400 | 400 | 400 | 15 | 26222 |
| EN 15662 | 900 | 150 | – | 15 | 15 | 26224 |
| Type d’échantillon : fruits et légumes très riches en pigments Exemples : poivron rouge, épinards, myrtilles |
||||||
| Mini-multirésidus, EN 15662 | 150 | 25 | – | 7.5 | 2 | 26218 |
| AOAC 2007.01 | 150 | 50 | 50 | 50 | 2 | 26219 |
| EN 15662 | 900 | 150 | – | 45 | 15 | 26225 |
| – | 900 | 300 | – | 150 | 15 | 26126 |
| Type d’échantillon : usage courant Exemples : produits très divers, y compris des fruits et légumes gras et riches en pigments |
||||||
| – | 150 | 50 | 50 | 7.5 | 2 | 26243 |
| – | 900 | 300 | 300 | 45 | 15 | 26245 |
Remarque : l’absence de donnée dans la colonne “Méthode” indique que les formulations dSPE concernées ne sont pas spécifiquement incluses dans l’une des références citées. Ces produits peuvent être utilisés pour répondre à divers besoins de matrices spécifiques qui ne sont pas couvertes par les références citées.
*PSA = primary secondary amine exchange
**GCB = carbone graphitisé
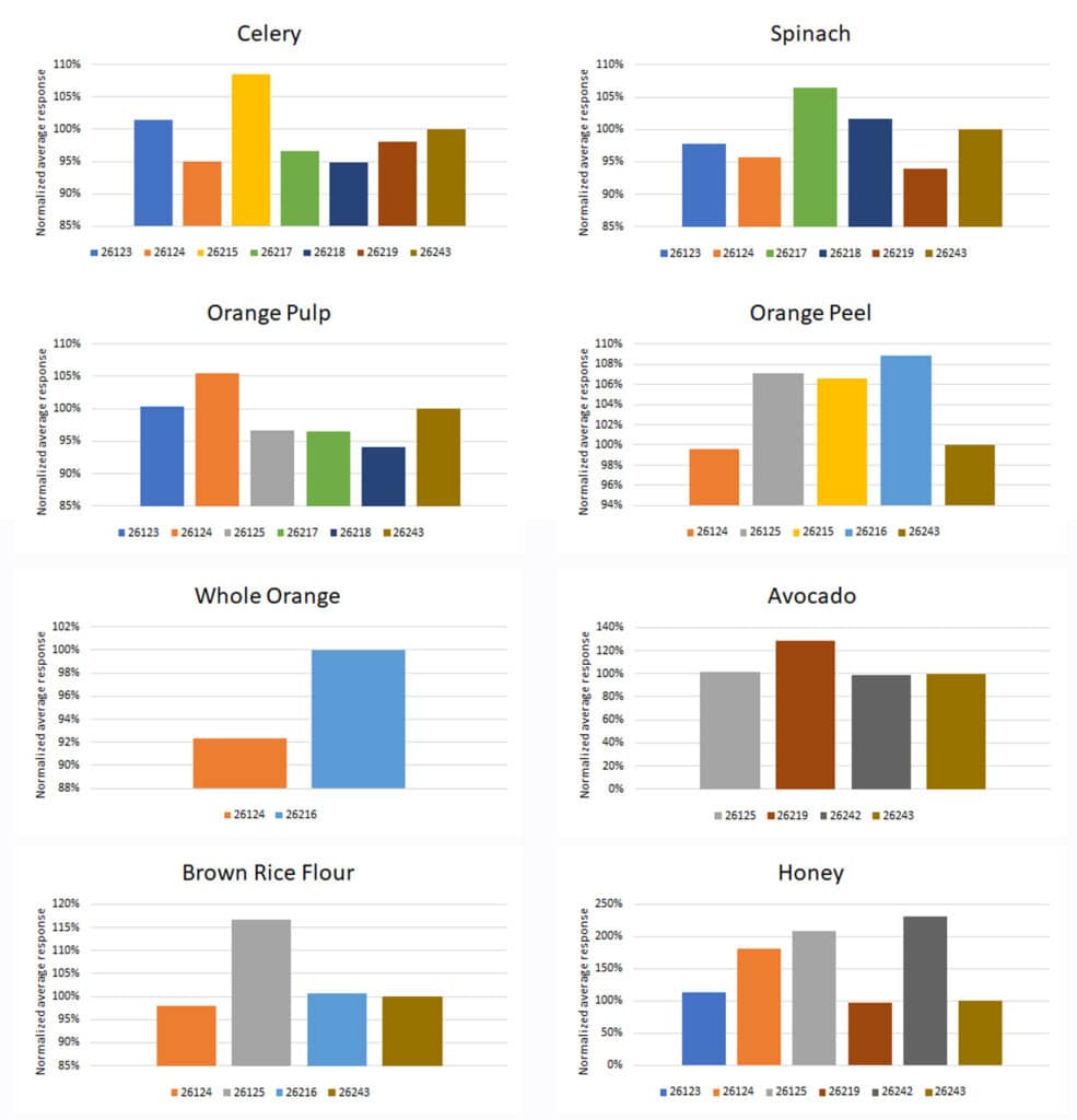
Pour en revenir à l’optimisation de nos expériences QuEChERS, nous avons purifié nos extraits au moyen de produits dSPE présents dans le Tableau II et tracé un diagramme des réponses combinées des pesticides pour chaque produit, de manière normalisée par rapport à un produit d’usage courant (réf. 26243) contenant des niveaux faibles à modérés de MgSO4, de PSA, de C18 et de GCB. La Figure 5 montre, comme prévu, qu’aucun produit dSPE n’a fourni de résultats optimaux pour l’ensemble des échantillons. Par rapport à la formulation générale, les réponses des pesticides étaient plus élevées dans le céleri avec une purification par la dSPE de réf. 26215 qui contient moitié moins de PSA et pas de C18 ni de GCB. Pour les épinards, les réponses optimales ont été observées avec la dSPE de réf. 26217, qui ne contient pas de C18 et moins de PSA et de GCB. Les échantillons d’avocat ont fourni une réponse maximale des analytes avec la dSPE de réf. 26219 qui contient plus de GCB que le produit dSPE générique. Les résultats optimaux pour la farine de riz brun ont été obtenus avec la dSPE de réf. 26125, qui ne contient pas de GCB. Ces quatre exemples montrent que l’utilisation d’un mélange d’adsorbants optimal permettant une purification efficace produit de meilleurs résultats qu’une purification excessive avec une approche dSPE générique. Enfin, la dSPE optimale pour l’orange dépendait du sous-échantillon testé, et pour le miel, trois produits dSPE (réf. 26124, 26125, et 26242) ont fourni des réponses significativement plus élevées (plus de 175 % plus élevées) que la dSPE générique.

Les résultats ci-dessus sont à nouveau fondés sur une approche globale, où toutes les réponses des pesticides sont combinées. C’est une approche appropriée pour un “screening” générique, lorsqu’une méthode QuEChERS qui fonctionne bien pour une large gamme de pesticides est nécessaire. Mais s’il est essentiel d’obtenir de bons résultats pour certains analytes en particulier, alors il est nécessaire d’évaluer les méthodes pour ces analytes spécifiques. Ces deux approches sont valables pour des objectifs différents, et les analystes doivent être conscients qu’elles peuvent aboutir à des choix différents de produits dSPE. Pour cette raison, les produits choisis ne doivent pas être considérés comme des recommandations définitives, mais les laboratoires devraient plutôt utiliser cette approche pour se guider dans leurs propres expériences sur la manière d’utiliser la technique QuEChERS de façon optimale pour les pesticides et les matrices qui seront effectivement utilisées dans la méthode qu’ils développent.
En regardant de plus près les résultats pour chaque pesticide, la Figure 6 montre que dans les échantillons de farine de riz brun, la plupart des pesticides présentent des réponses similaires, mais que la réponse la plus forte pour le DDT,est obtenue avec la dSPE de réf. 26125 (la dSPE recommandée selon notre évaluation générale présentée en Figure 5), laquelle dSPE donne au contraire la réponse la plus faible pour le malathion. La réponse du malathion étant relativement élevée par rapport aux autres pesticides, elle sera probablement adéquate avec la dSPE de réf. 26125, mais s’il s’agit d’un pesticide exigé, d’autres évaluations devront avoir lieu pendant le développement de la méthode pour garantir que les performances de la méthode sont conformes aux attentes.

Analyser les échantillons précisément et efficacement
Nos expériences d’optimisation de la technique QuEChERS ont permis d’identifier quelles modifications des échantillons (secs), quels sels d’extraction et quels produits dSPE offraient des réponses relativement élevées pour les 40 pesticides de notre mélange-test. Ensuite, nous avons souhaité évaluer une liste de pesticides bien plus longue, contenant plus de pesticides pouvant être rencontrés dans les analyses de routine. Pour cet essai, nous avons dopé nos échantillons avec les 203 pesticides contenus dans le kit multi-résidus de pesticides pour GC Restek (réf. 32562). Comme la liste des analytes cibles a été significativement allongée, nous avons étudié la liste des produits recommandés dans les expériences d’optimisation et nous avons procédé à des ajustements basés sur nos expériences passées avec ces matrices et ces analytes supplémentaires. Par exemple, avec les épinards nous avons choisi d’utiliser la dSPE de réf. 26219 plutôt que celle de réf. 26217 car la 26219 contenait plus de GCB et de PSA, qui éliminent efficacement les pigments et produisent des extraits plus transparents qui contamineront moins l’instrument et entraîneront donc moins d’arrêts pour maintenance. Les échantillons ont été extraits et purifiés en utilisant la liste de produits finale du Tableau III, puis analysés par GC-MS/MS. Les taux de récupération ont été utilisés pour évaluer les performances des méthodes et les résidus ont été mesurés dans des échantillons “blancs”.
Tableau III : Sélection finale des sels d’extraction et des adsorbants dSPE utilisés pour préparer les échantillons pour l’analyse GC-MS/MS de 203 pesticides.
| Matrice | Sels (Méthode et références) | dSPE | MgSO4 (mg) | PSA (mg) | C18-EC (mg) | GCB (mg) |
| Céleri | AOAC (réf. 25852) | réf. 26215 | 150 | 25 | – | – |
| Épinards | AOAC (réf. 25852) | réf. 26219 | 150 | 50 | 50 | 50 |
| Pulpe d’orange | AOAC (réf. 25852) | réf. 26124 | 150 | 50 | – | – |
| Peau d’orange | EN (réf. 25850) | réf. 26216 | 150 | 25 | 25 | – |
| Orange entière | EN (réf. 25850) | réf. 26216 | 150 | 25 | 25 | – |
| Avocat | AOAC (réf. 25852) | réf. 26125 | 150 | 50 | 50 | – |
| Farine de riz brun | Unbuffered (réf. 25848) | réf. 26125 | 150 | 50 | 50 | – |
| Miel | AOAC (réf. 25852) | réf. 26124 | 150 | 50 | – | – |
Concernant le taux de récupération, la plupart des matrices ont été dopées à 10 et 100 ppb, mais le dopage maximal était de 50 ppb pour l’orange entière et l’avocat, et le dopage minimal de 20 ppb pour l’orange entière et le miel. Pour toutes les matrices et tous les niveaux de dopage, du plus bas au plus élevé, 82 à 99,5 % des pesticides étaient dans la plage de récupération visée de 70 à 120 % (Figures 7 et 8). La précision a également été évaluée pour les dopages de niveau bas et plus de 90 % étaient dans la zone visée avec un écart-type relatif < 20 % (Figure 9). Les matrices les plus difficiles (les épinards très riches en pigments, l’avocat riche en matières grasses, la farine de riz à faible teneur en eau et le miel) présentent plus souvent des écarts-types relatifs (%RSD) parmi les catégories les plus élevées (10 à 20 % et > 20 %) que les denrées plus faciles comme le céleri. Outre l’évaluation des performances des méthodes, les résidus produits se sont révélés être détectables, dans la plupart des cas, à des concentrations faibles (en ppb) pour quatre des six denrées. (Tableau IV).



Tableau IV : Pesticides rencontrés.
| Denrée/Pesticide | Moyenne (ppb) | Écart-type |
| Céleri | ||
| Cyperméthrine | 2.6 | 0.3 |
| Flutriafol | 3.1 | 0.7 |
| Malathion | 6.8 | 0.4 |
| Épinards | ||
| Métalaxyl | 3.4 | 0.9 |
| trans-perméthrine | 2.0 | 0.1 |
| Orange entière | ||
| Fludioxonil | 322 | 2 |
| Cyperméthrine | 5.1 | 0.4 |
| Diphénylamine | 1.5 | 0.1 |
| Pulpe d’orange | ||
| Fludioxonil | 6.8 | 0.2 |
| Peau d’orange | ||
| Fludioxonil | 600 | 27 |
| Cyperméthrine | 8.8 | 0.7 |
| Diphénylamine | 2.3 | 0.3 |
| Miel | ||
| 3,4-Dichloroaniline | 2.5 | 1.0 |
| 2,4-DPF | 8.9 | 0.3 |
| Piperonyl butoxide | 0.40 | 0.09 |
Conclusion
Les expériences préliminaires permettent de déterminer facilement comment utiliser de manière optimale la technique QuEChERS pour les matrices complexes et elles sont payantes car elles fournissent des méthodes plus performantes qu’avec une approche générique. Le fait de connaître les caractéristiques des échantillons et des analytes dès le départ permet de prendre des décisions éclairées lors du développement de la méthode sur les modifications à apporter aux échantillons (par exemple, leur quantité et leur teneur en eau), sur le choix des sels d’extractions et sur le choix des adsorbants dSPE. En investissant du temps en amont dans l’optimisation de votre méthodologie QuEChERS, vous pourrez plus facilement utiliser des méthodes d’extraction plus robustes pour vos analyses difficiles.
Références
Restek n’est pas en mesure de fournir des copies de ces documents.
- Anastassiades, S.J. Lehotay, D. Stajnbaher, F.J. Schenck, Fast and easy multiresidue method employing acetonitrile extraction/partitioning and “dispersive solid-phase extraction” for the determination of pesticide residues in produce. J. AOAC Int. 86 (2003) 412-431. http://pubag.nal.usda.gov/pubag/downloadPDF.xhtml?id=555&content=PDF
- AOAC Official Method 2007.01, Pesticide Residues in Foods by Acetonitrile Extraction and Partitioning with Magnesium Sulfate, 2007.
- EN 15662:2018, Foods of plant origin – Multimethod for the determination of pesticide residues using GC- and LC-based analysis following acetonitrile extraction/partitioning and clean-up by dispersive SPE – Modular QuEChERS-method, revised 01, July 2018.

