When starting a new project it’s important to pick the right tools for the job. In the case of chromatography, these are several different tools at our disposal. Stationary phase, mobile phase, mobile phase additives, column temperature, and flow rate all play a part in getting that perfect chromatogram.
During the column scouting phase of initial method development, it is important to know the void volume of your column. The void volume can help determine if your first eluting compounds are getting enough retention on the column stationary phase. Not having enough retention for compounds in your analysis can prove to be detrimental when applying your developed method to matrix.
Void volume can easily be determined if your column is new. A certificate of analysis (CoA) comes with every column and contains a lot of useful information. For reversed-phase columns, a mix containing uracil is injected on the column and the retention times are determined. Since uracil is a polar analyte it is not retained on the non-polar stationary phase and elutes with the void volume. If you pulled a column from a stack you found in a cabinet of your lab you likely won’t still have the CoA it was shipped with. In that case the CoA’s can be searched for online using the LC column’s serial number. Remember if you use the void volume value from a CoA this will not include your system’s instrument volume from the injector to the column so the void volume provided by the CoA will only be a rough estimate.
Void volume can also be calculated but first the particle type will need to be established. Fully porous (FPP) and superficially porous particles (SPP) have different areas that they occupy inside the column volume, so determining your particle type will allow you to choose the correct coefficient. Physically the difference between fully porous and superficially porous is that superficially porous, or “core shell”, particles contain a solid impermeable core surrounded by a porous layer of silica that analytes can partition in and out of.
To calculate the void volume, or interstitial space between the silica particles follow these two equations:
FPP void volume= 0.68πr2ℓ
SPP void volume= 0.5πr2ℓ
Where r is the radius of the column (diameter ÷ 2) in cm and ℓ is the length of the column also in cm. It’s important to convert units to cm so the final answer for the calculation comes out to be cm3 (1 cm3 = 1 mL). There is some debate over the coefficients for these equations but for the intents and purposes of this article they will serve as a reasonable estimate.
In the table below, some common LC column dimensions have been used to calculate void volume for FPP and SPP packed columns.
| Column Dimension | |||||
| 150 x 4.6 mm | 100 x 2.1 mm | 100 x 3 mm | 50 x 2.1 mm | 30 x 2.1 mm | |
| FPP | 1.695 mL | 0.236 mL | 0.481 mL | 0.118 mL | 0.071 mL |
| SPP | 1.246 mL | 0.173 mL | 0.353 mL | 0.087 mL | 0.052 mL |
Table 1. Calculated void volume in mL of fully porous (FPP) and superficially porous particles (SPP) for different column dimensions.
If you would rather determine void volume experimentally this can be done for reversed-phase columns by injecting uracil. This will produce the most accurate results for the system being used since it will take into account the instrument volume. Choose your own adventure!
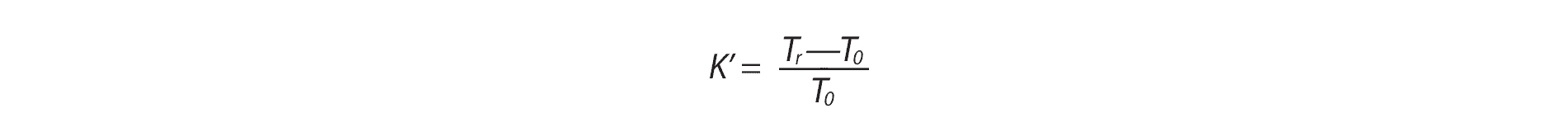
Now that we have the void volume of our column we can use this to determine if our first eluting compound has an acceptable amount of retention. This is performed by calculating retention factor or K’.

In the above equation Tr is the retention time of the analyte and T0 is the time your void volume takes to elute. A retention factor of 0 would mean that your sample spends no time in the stationary phase and is not retained on the column. A retention factor of 1 would mean that the analyte spends equal amounts of time in the stationary phase as the mobile phase. A retention factor of 2 means that the compound spends twice as long interacting with the stationary phase than the mobile phase. Typically a retention factor of less than 1 is considered not well retained and a retention factor of 2-10 is optimal. Matrix effects are typically encountered at a retention factor of less than 2 so developing a method with >2 retention will help avoid matrix interferences in most cases.
Checking retention factor early in the method development process can help ensure that you have enough retention for a robust analysis when applied to matrix. This can potentially save time and headache in the long run and ensure the right stationary phase is chosen for the job.

