Blogs

Determination of Chloropropanols in Soy Sauce: Part 1, Enter The Matrix

21 Jan 2015

A while back I was doing some reading and came across an application of GC-MS in food safety that caught my attention. The analysis of food products, specifically soy sauce, for contamination with chloropropanols. So how do chlorinated alcohols end up in food?

During the production of a food ingredient known as hydrolyzed vegetable protein (HVP) various vegetable protein feedstocks such as corn gluten, wheat gluten, and soybean meal are combined with dilute HCl and heated at around 100° C. This process causes hydrolysis of the peptide bonds within the bulk protein leading to a mixture of short peptides and free amino acids. We perceive the presence of free amino acids as an umami flavor and so HVP is often added to foods in order to give a more rich or meat like taste.

blog determination of chloropropanols in soy sauce part 1 enter the matrix 01

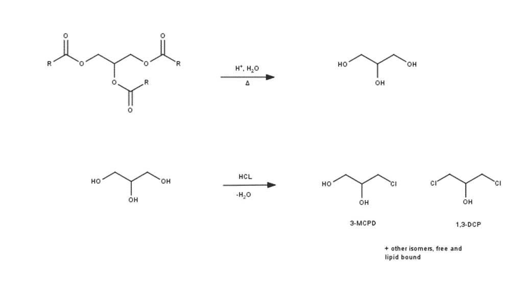
Problems can arise when process parameters like the strength of the acid, reaction time, temperature, and the level of residual lipids in the feedstock are not well controlled. Residual lipids can undergo the following reactions in which the released glycerol is chlorinated.

Most analytical work and regulations in this area focus on the compounds 3-chloro-1,2-propanediol (3-MCPD) and 1,3-dichloro-2-propanol (1,3-DCP) although other structural isomers are known to occur as well as species in which one or more fatty esters remain bound. The European Commission has set an upper limit of 0.02 mg/kg for 3-MCPD in soy sauce and HVP on a dry matter basis and requires analytical methods to achieve an LOQ of 0.01 mg/kg. Assuming our soy sauce under test is 40% dry matter, the LOQ would be 4 ppb on a liquid basis.

The state of analytical methods for these compounds in soy sauce and other food matrices has been advancing in recent years, however many still rely on large volumes of extraction solvents which can be expensive and unfriendly to work with. My goal for this project is to develop a method for determining chloropropanols in HVP based soy sauce using a QuEChERS extraction with acetonitrile followed by dispersive sample cleanup, derivatization with heptafluorobutyric anhydride (HFBA), and finally GC-MS analysis. I also hope to incorporate the shoot and dilute concept which entails running the GC inlet in split mode to reduce buildup of nonvolatile sample components on the inlet liner and column.

A tall order indeed! I began by extracting 10 G portions of both traditionally brewed and HVP based soy sauce using the standard unbuffered QuEChERS procedure. Traditionally brewed soy sauce is made by fermentation and should be free of any incurred chloropropanols while HVP based products have the potential for contamination. The traditionally brewed sample will serve as a blank matrix for calibration and method development.

a couple of glasses with liquid in them

Soy sauce extraction following 1 min shake, before addition of salts. HVP based on the left, traditionally brewed on the right.

tubes

Soy sauce extraction after addition of salts, 1 min shake, and centrifugation. HVP based on the left, traditionally brewed on the right.

Giving those extracts the highly scientific eyeball test hints that we are in for quite a challenge. Keep following my series of blogs on this project as things progress and feel free to comment or contact me if you are interested in this analysis or perhaps have even run it yourself.

Here are some references for those interested in reading up on the issue.

IARC Monograph, 2012, 101, 349

EFSA Journal, 2013, 11(9), 3381

AOAC official method 2000.01

Journal of Chromatography A, 952 (2002), 185–192

Food Control, 18 (2007), 81–90

GNBL4644