技術資料

How to Use QuEChERS for Diverse Sample Types

01 Dec 2022

feature FSAR3917
  • Realize the advantages of QuEChERS for your most challenging analytes and sample types.
  • Streamline method development with effective strategies for sample modification, extraction, and cleanup.
  • Improve method performance by using appropriate salts and dSPE sorbents for different applications.

One of the biggest challenges faced by food safety labs is the need to analyze a broad range of pesticides in many different sample types. No single method will be best in all cases, which makes the QuEChERS approach advantageous because it can be easily adapted to different sample types and analyte lists. Compared to liquid-liquid or solid-phase extraction methods, QuEChERS sample preparation is fast, simple, and inexpensive. And, because QuEChERS is easy to modify, it can be very effective across a wide range of sample types and analyte chemistries.

QuEChERS was originally developed for analyzing pesticides in high-water content matrices, but it has since been successfully adapted for a wide range of samples. The first step in the optimization of QuEChERS methods is to characterize your sample matrix. Is it high or low in water, sugars, fats, pigments, pH, etc.? For general commodities, like celery, that are high in water and low in lipids, pigments, and other interferences, a simple 1:1 sample:acetonitrile extraction and standard dSPE cleanup sorbent (magnesium sulfate and primary secondary amine) may be adequate. However, when testing low-water, high-fat matrices, such as avocado, you will likely need to modify the extraction procedure by adding water. Similarly, for cleanup of avocado extracts, using a dSPE product containing C18 will be more effective at removing lipid interferences than one that does not.  

The key to achieving the maximum benefits of QuEChERS is to optimize methods effectively for different matrices instead of using a generic approach for all sample types. While a literature review is a good starting point, the best way to establish procedures that reliably ensure accurate results for your samples is to conduct preliminary experiments like those detailed here. In this article, we explore how to use QuEChERS most effectively for celery, spinach, orange, avocado, brown rice flour, and honey and demonstrate how to evaluate and modify QuEChERS methods to improve pesticide recoveries for these very diverse sample types.

Optimization of QuEChERS Extraction and dSPE Cleanup

There are three widely used standard QuEChERS methods: the original unbuffered method [1] and two buffered methods, an AOAC method [2] and a European EN method [3]. All three methods consist of two primary steps: sample extraction and dSPE cleanup of the sample extract. Both steps should be optimized for best results. However, prior to optimization of QuEChERS extraction and cleanup, we first need to assess whether low-water content samples need to be modified. 

Modifications for Low-Moisture Samples

Water is critically important for QuEChERS extractions because its presence allows analytes in the sample to become accessible to the water-miscible extraction solvent (usually acetonitrile). High-water content samples are usually sufficiently moist for extraction. But drier samples must have water added to them or extraction will be incomplete, and recoveries may be poor. Generally, water needs to be present in a 1:1 ratio with the extraction solvent, so sample matrices will need to have their intrinsic water amounts supplemented up to a level that gives this ratio (generally 10-15 mL total water is required for extraction). Regardless of whether additional water is needed, all samples must be properly homogenized to ensure representative results.

In addition to adding water to dry samples, labs may also need to assess whether less sample mass should be used. In our optimization of QuEChERS, we are evaluating two low-water content samples: brown rice flour and avocado. For the brown rice flour, we tested two sample size modifications and (assuming a moisture level of nearly zero) added 10 mL of water to each. For avocado, we initially accounted for the sample being approximately 70% water and added an additional 3 mL of water to our 10 g sample. We also tried another approach for avocado in which we modified both the sample weight and the volume of additional water (Table I).

Table I: Sample and Water Modifications for QuEChERS Extraction of Low Water Content Commodities

Sample (Method)Sample Weight (g)Added Water (mL)Acetonitrile (mL)
Brown rice flour (method 1)101010
Brown rice flour (method 2)51010
Avocado (method 1)10310
Avocado (method 2)5610

Method performance was tested using Restek’s QuEChERS performance mix (cat.# 31152), and extraction was carried out using unbuffered salts (cat.# 25848) for flour samples and EN salts (cat.# 25850) for avocado. This performance mix was selected because it contains 40 organochlorine, organonitrogen, organophosphorus, and carbamate pesticides that vary in chemical characteristics (volatile, polar, active, base-sensitive, and nonvolatile), which allows method performance to be assessed for a wide range of compound chemistries using a manageable number of representative analytes.

As shown in Figure 1, a simple comparison of raw recoveries (analyte area:internal standard area) is a quick way to determine if one method performs better than the other. In the case of brown rice flour, method 2 (reduced sample mass) provided slightly better recoveries for bifenthrin, cyprodinil, and DDT, but performance was very similar for other analytes. An additional benefit of method 2 is that these samples were much easier to process consistently because with the smaller sample size it was easier to shake the samples thoroughly, and remove the supernatant cleanly. For avocado, method 1 (10 g avocado, 3 mL water) provided better results for dimethoate, and method 2 (5 g avocado, 6 mL water) provided better responses for bifenthrin, but otherwise method performance was essentially the same for most pesticides, meaning either of these sample mass and hydration modifications should work well for most compounds.

Figure 1: Evaluation of Sample Mass and Water Addition Modifications

figure article fsar3917 01

Extraction Salt Selection

Once any necessary modifications to sample mass and supplemental water are made for dry samples, the next step in determining how to use QuEChERS optimally for different sample types is to select the extraction salt that will work best for each. The extraction salts enhance extraction efficiency and drive the analytes from the aqueous sample into the organic solvent. The choice between the original unbuffered method salts and buffered method salts should be based on the expected pH of the final extract and the pH sensitivity of the target analytes. Unbuffered salts work well for most analytes; however, if critical target analytes are unstable at some pHs, a buffered method that maintains the necessary pH will produce more accurate results for pH-sensitive pesticides. If using a buffered method, AOAC salts are somewhat acidic and buffer the final extract to a pH of around 4.75, whereas EN salts are a bit more neutral and buffer the extract to 5.0–5.5. Note that when using unbuffered salts, the pH of the final extract is largely determined by the sample pH.

For our optimization of QuEChERS extraction salts experiments, we again used the QuEChERS performance mix (cat.# 31152) because it contains a wide range of indicator compounds. It is a good choice for evaluating representative pesticides without having to analyze an excessive number of compounds. Then, we extracted each sample using unbuffered salts (cat.# 25848), AOAC salts (cat.# 25852), and EN salts (cat.# 25850). To take a high-level look at differences among the salts, we averaged the responses of all pesticides for each matrix and then normalized the results for each of the buffered methods to the original unbuffered method. The results are presented two ways: as a comparison for each sample (Figure 2) and as a comparison of the salts themselves (Figure 3). This allows us to see which salt is best for each sample type (optimization for sample type) as well as which salt gives the best results across all samples (which salt is most universal).

The approach taken in Figure 2 is helpful when evaluating what is best for a specific matrix. We can easily see that for celery, spinach, and avocado the AOAC salts produced a much higher response and would be preferred if you are developing a truly optimized method for a given matrix. The remaining results were similar and showed modest differences in most cases. However, using either of the buffered salts generally gave a higher response than the unbuffered salts.

Figure 3 is simply a different organization of the same results, and it is a useful view if you want to compare the salts directly to more easily see which had the highest performance overall across all matrices. This approach is helpful if you are developing a screening method and want to know which salt is best for the most sample types. In this view, it is easier to see that AOAC salts produced higher pesticide responses overall.

Figure 2: Overall assessment of which salt performs best for each type of sample. (Y axis = average recoveries of 40 pesticides normalized to the recoveries using unbuffered salts.)

figure article fsar3917 02

Figure 3: Overall assessment of which salt gives the highest response for the most sample types. (Y axis = average recoveries of 40 pesticides normalized to the recoveries using unbuffered salts.)

figure article fsar3917 03

Both Figures 2 and 3 take a high-level view because the responses for all compounds are averaged together. If you have particular pesticides that you need a method for, it is essential to assess their results individually. It can be helpful to know which pesticides are commonly used on each crop commodity so you can look specifically at the performance of those compounds during your optimization of QuEChERS experiments. Figure 4 is a more detailed assessment of pesticides in honey. In this case, we are evaluating raw response ratios (not normalized) for each of the pesticides in our test mix. We can see in the top chart that for most compounds the choice of salt does not make a clear difference. But, in the bottom chart, where we focus on selected pesticides, we can see that for dicofol the choice of extraction salt had a big effect, and the response was much higher when using the AOAC salts. If dicofol is a critical analyte, it is clear that the AOAC salts should be used.

Figure 4: Detailed comparison of extraction salt performance for specific pesticides in a given matrix.

figure article fsar3917 04

Choosing a dSPE Cleanup

Once an extraction salt has been chosen, the next step in determining how to use QuEChERS effectively is to select the dSPE sorbent for extract cleanup. There are a wide range of dSPE products available, and they contain different sorbent combinations (both type and amount) that will remove excess water and specific interferences from the extracts. The key to optimizing a QuEChERS cleanup is to select sorbents that will effectively remove the particular types of interferences that are found in different samples. The goal is to provide effective—but not excessive—cleanup so that interferences are removed, but target analytes remain in the extract.

Table II provides recommended sorbent combinations for different sample types. Magnesium sulfate and primary secondary amine exchange material (PSA) are used universally to remove water (MgSO4) as well as sugars, fatty acids, and organic acids (PSA) that can be analytical interferences. Beyond that, C18 is recommended for high-fat samples to remove lipids, and graphitized carbon black (GCB) is used to remove pigments. Sorbent choice should be targeted to the types of contaminants in each sample to minimize the concomitant removal of target analytes. For example, while GCB effectively removes pigments, it can also remove planar pesticides, such as chlorothalonil and thiabendazole. Considering the type and relative amount of matrix components that need to be removed from extracts prior to analysis will guide your choice in selecting appropriate dSPE products.

Table II: A wide range of dSPE sorbent combinations are available to most effectively remove the different analytical interferences found in diverse sample types.

Method Sorbent Mass (mg) Product Information
MgSO₄ PSA* C18-EC GCB** Vial Volume (mL) Cat.#
Removes
Excess water Sugars, fatty acids, organic acids, anthocyanine pigments Lipids, nonpolar interferences Pigments, sterols, nonpolar interferences
Sample Type: General fruits and vegetables
Example: Celery, head lettuce, cucumber, melon
AOAC 2007.01 150 50 2 26124
Original unbuffered, EN 15662, mini-multiresidue 150 25 2 26215
AOAC 2007.01 1200 400 15 26220
Original unbuffered, EN 15662 900 150 15 26223
Sample Type: Foodstuffs with fats and waxes
Example: Cereals, avocado, nuts, seeds, and dairy
Mini-multiresidue 150 25 25 2 26216
150 50 2 26242
AOAC 2007.01 150 50 50 2 26125
AOAC 2007.01 1200 400 400 15 26221
1200 400 15 26244
900 150 150 15 26226
Sample Type: Pigmented fruits and vegetables
Example: Strawberries, sweet potatoes, tomatoes
Mini-multiresidue, EN 15662 150 25 2.5 2 26217
AOAC 2007.01 150 50 50 2 26123
AOAC 2007.01 1200 400 400 400 15 26222
EN 15662 900 150 15 15 26224
Sample Type: Highly pigmented fruits and vegetables
Example: Red peppers, spinach, blueberries
Mini-multiresidue, EN 15662 150 25 7.5 2 26218
AOAC 2007.01 150 50 50 50 2 26219
EN 15662 900 150 45 15 26225
900 300 150 15 26126
Sample Type: General purpose
Example: Wide range of commodities, including fatty and pigmented fruits and vegetables
150 50 50 7.5 2 26243
900 300 300 45 15 26245

Note: No entry in the Method column refers to dSPE formulations not specifically included in one of the cited references. These products can be used to accommodate the various needs of specific matrices not directly met by the cited references.

*PSA = primary secondary amine exchange material
**GCB = graphitized carbon black

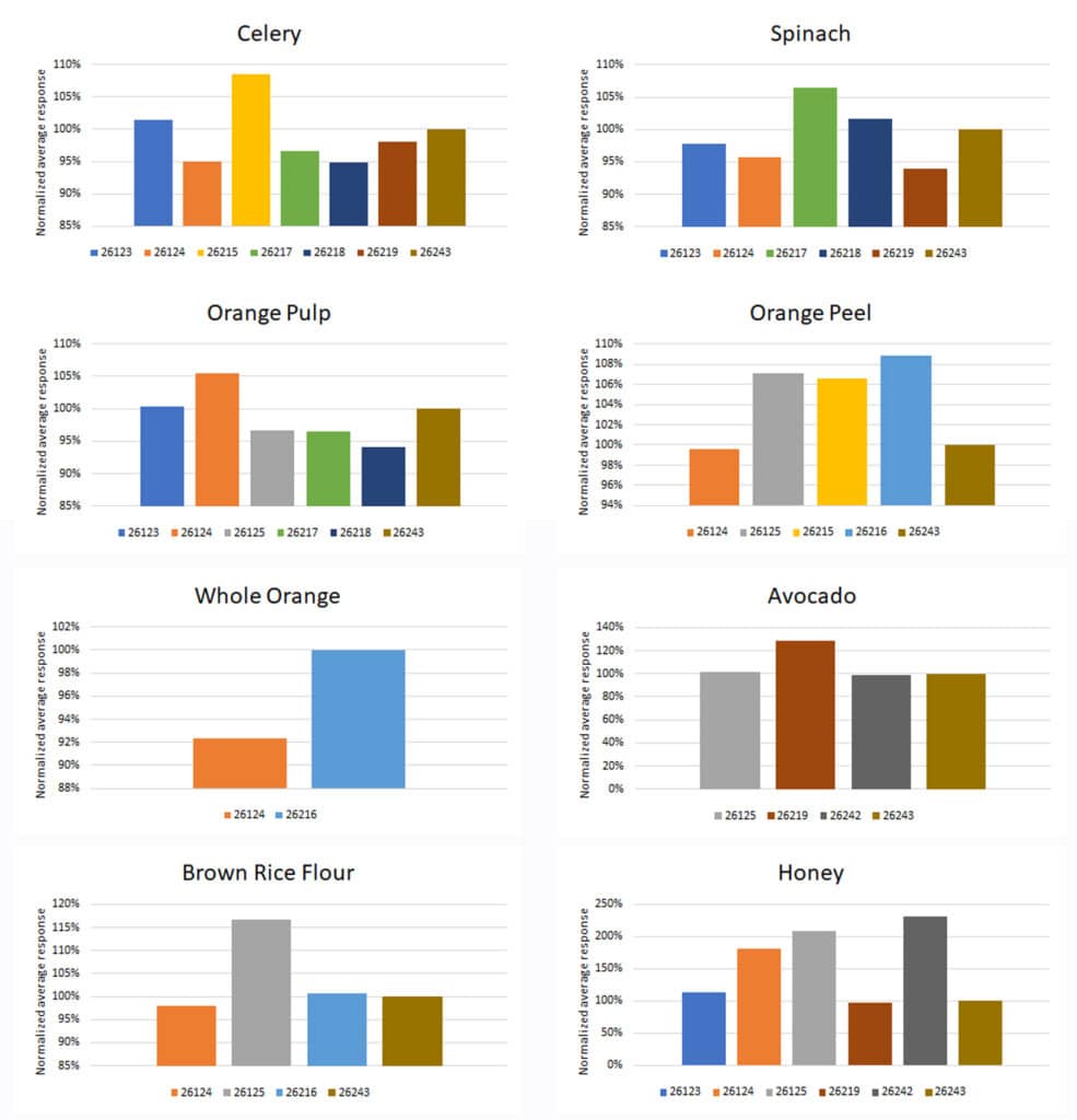
Returning to our optimization of QuEChERS experiments, we cleaned our extracts using a range of dSPE products from Table I and plotted combined pesticide responses for each product normalized to a general-purpose product (cat.# 26243) that contained low-to-moderate levels of MgSO4, PSA, C18, and GCB. As shown in Figure 5, as expected, no single dSPE product provided optimal results for all samples. Compared to the general formulation, pesticide responses were higher in celery when using dSPE cat.# 26215 for cleanup, which contains half the PSA and no C18 or GCB. For spinach, optimized responses were seen with dSPE cat.# 26217, which contained no C18 and less PSA and GCB. Avocado samples had highest analyte responses when dSPE cat.# 26219 was used, which contained more GCB than the general dSPE product. Results proved optimal for brown rice flour samples when using dSPE cat.# 26125, which did not contain any GCB. All four cases are examples of where an effective cleanup using an optimal sorbent blend provided better results than an excessive cleanup using a general dSPE approach. Finally, the dSPE that was optimal for orange depended on the subsample tested, and for honey three dSPE products (cat.# 26124, 26125, and 26242) provided significantly higher responses (over 175% higher) compared to the general-purpose dSPE.

Figure 5: Overall assessment of which dSPE performs best for each type of sample.

figure article fsar3917 05

The above results again are based on a high-level decision-making approach where all pesticide responses are combined. This is appropriate for general screening when a QuEChERS method that will work well for a wide range of pesticides is needed. But, if good results for particular analytes are essential, then it is necessary to evaluate methods for those individual analytes. These are both valid approaches with different purposes, and analysts should be aware that they may yield different dSPE product choices. Therefore, the products selected here should not be interpreted as definitive recommendations, rather labs should use this approach as a guide for conducting their own experiments on how to use QuEChERS effectively for the pesticides and matrices that will ultimately be used in the method they are developing.

Taking a closer look at the results for individual pesticides, Figure 6 shows that in brown rice flour samples most pesticides have similar responses, but DDT has a greater response using dSPE cat.# 26125 (the recommended dSPE based on our overall assessment in Figure 5), whereas malathion has a lower response. The malathion response is relatively high compared to other pesticides, so its response will likely be adequate when using dSPE cat.# 26125, but if it is a required pesticide, further assessment should be done during method development to ensure the final method performs as desired.

Figure 6: Detailed comparison of dSPE performance for specific pesticides in a given matrix.

figure article fsar3917 06

Analyze Samples Accurately and Efficiently

Our optimization of QuEChERS experiments identified sample modifications (for dry samples), extraction salts, and dSPE products that yielded relatively high responses for the 40 pesticides in our test mix. Next, we wanted to evaluate a much larger list of pesticides that would be encountered during routine analysis. To test this, we fortified samples with the 203 pesticides contained in Restek’s GC multiresidue pesticide kit (cat.# 32562). Because the list of target analytes was significantly expanded, we reviewed the list of products recommended in the optimization experiments and made some adjustment based on our prior experience with these matrices and the expanded analyte list. For example, with spinach we chose to use dSPE cat.# 26219 instead of cat.# 26217 because 26219 contained more GCB and PSA, which effectively remove pigments, producing clearer extracts that will result in less instrument contamination and, thus, less downtime for maintenance. Samples were extracted and cleaned using the final adjusted list of products in Table III and then analyzed by GC-MS/MS. Recoveries were used to assess method performance and incurred residues were measured in blank samples.

Table III: Final selection of extraction salts and dSPE sorbents used to prepare samples for GC-MS/MS analysis of 203 pesticides.

MatrixSalts (Method and Catalog#)dSPEMgSO4 (mg)PSA (mg)C18-EC (mg)GCB (mg)
CeleryAOAC(cat.# 25852)cat.# 2621515025
SpinachAOAC(cat.# 25852)cat.# 26219150505050
Orange pulpAOAC(cat.# 25852)cat.# 2612415050
Orange peelEN(cat.# 25850)cat.# 262161502525
Whole  OrangeEN(cat.# 25850)cat.# 262161502525
AvocadoAOAC(cat.# 25852)cat.# 261251505050
Brown rice flourUnbuffered(cat.# 25848)cat.# 261251505050
HoneyAOAC(cat.# 25852)cat.# 2612415050

For recovery, most matrices were fortified at 10 and 100 ppb, but the high spike was 50 ppb for whole orange and avocado, and the low spike was 20 ppb for whole orange and honey. Across both low- and high-level spikes for all matrices, 82-99.5% of the pesticides were in the target recovery range of 70-120% (Figures 7 and 8). Precision was also assessed for the low-level spikes and more than 90% were in the target area of <20% RSD (Figure 9). The more difficult matrices (highly pigmented spinach, high-fat avocado, and low-moisture rice flour and honey) have more %RSDs in the higher categories (10-20%, and >20%) than the easier commodities, such as celery. In addition to the method performance evaluation, incurred residues were shown to be detectable, in most cases, at low ppb levels in four of the six commodities. (Table IV).

Figure 7: High Spike Recoveries (Whole Oranges and Avocados: 50 ppb; Other Commodities: 100 ppb)

figure article fsar3917 07

Figure 8: Low Spike Recoveries (Whole Oranges and Honey: 20 ppb; Other Commodities: 10 ppb)

figure article fsar3917 08

Figure 9: Low spike precision (comparison of %RSD for low-level spikes, 10 or 20 ppb).

figure article fsar3917 09

Table IV: Incurred pesticides.

Commodity/PesticideMean (ppb)SD
Celery
Cypermethrin2.60.3
Flutriafol3.10.7
Malathion6.80.4
Spinach
Metalaxyl3.40.9
trans-Permethrin2.00.1
Whole orange
Fludioxonil3222
Cypermethrin5.10.4
Diphenylamine1.50.1
Orange pulp
Fludioxonil6.80.2
Orange peel
Fludioxonil60027
Cypermethrin8.80.7
Diphenylamine2.30.3
Honey
3,4-Dichloroaniline2.51.0
2,4-DPF8.90.3
Piperonyl butoxide0.400.09

Conclusion

Determining how to use QuEChERS for challenging matrices is simple to do through preliminary experimentation, and it pays dividends by ensuring better method performance compared to a one-size-fits-all method approach. Starting with an understanding of sample and analyte characteristics, informed choices can be made and sample modifications (e.g., mass and hydration), extraction salts, and dSPE sorbents can be evaluated during method development. By investing some upfront work in your QuEChERS methodology, you can easily use more robust extraction methods for your challenging assays.

References

Restek is not able to provide copies of these documents.

  1. Anastassiades, S.J. Lehotay, D. Stajnbaher, F.J. Schenck, Fast and easy multiresidue method employing acetonitrile extraction/partitioning and “dispersive solid-phase extraction” for the determination of pesticide residues in produce. J. AOAC Int. 86 (2003) 412-431. http://pubag.nal.usda.gov/pubag/downloadPDF.xhtml?id=555&content=PDF
  2. AOAC Official Method 2007.01, Pesticide Residues in Foods by Acetonitrile Extraction and Partitioning with Magnesium Sulfate, 2007.
  3. EN 15662:2018, Foods of plant origin – Multimethod for the determination of pesticide residues using GC- and LC-based analysis following acetonitrile extraction/partitioning and clean-up by dispersive SPE – Modular QuEChERS-method, revised 01, July 2018.

Products Mentioned


QuEChERS Performance Standards Kit
Q-sep QuEChERS Extraction Kit (EN), 4 g MgSO4, 1 g NaCl, 1 g TSCD, 0.5 g DHS with 50 mL Centrifuge Tube, 50 Packets & 50 Tubes
Q-sep QuEChERS Extraction Kit (Original), 4 g MgSO4, 1 g NaCl with 50 mL Centrifuge Tube, 50 Packets & 50 Tubes
Q-sep QuEChERS Extraction Kit (AOAC), 6 g MgSO4, 1.5 g NaOAc with 50 mL Centrifuge Tube, 50 Packets & 50 Tubes
Q-sep QuEChERS dSPE 2 mL Centrifuge Tube, Contains 150 mg MgSO4, 50 mg PSA, 100 Tubes
Q-sep QuEChERS dSPE 2 mL Centrifuge Tube, Contains 150 mg MgSO4, 25 mg PSA, 100 Tubes
Q-sep QuEChERS dSPE 15 mL Centrifuge Tube, Contains 1200 mg MgSO4, 400 mg PSA, 50 Tubes
Q-sep QuEChERS dSPE 15 mL Centrifuge Tube, Contains 900 mg MgSO4, 150 mg PSA, 50 Tubes
Q-sep QuEChERS dSPE 2 mL Centrifuge Tube, Contains 150 mg MgSO4, 25 mg PSA, 25 mg C18-EC, 100 Tubes
Q-sep QuEChERS dSPE 2 mL Centrifuge Tube, Contains 150 mg MgSO4, 50 mg C18-EC, 100 Tubes
Q-sep QuEChERS dSPE 2 mL Centrifuge Tube, Contains 150 mg MgSO4, 50 mg PSA, 50 mg C18-EC, 100 Tubes
Q-sep QuEChERS dSPE 15 mL Centrifuge Tube, Contains 1200 mg MgSO4, 400 mg PSA, 400 mg C18-EC, 50 Tubes
Q-sep QuEChERS dSPE 15 mL Centrifuge Tube, Contains 1200 mg MgSO4, 400 mg C18-EC, 50 Tubes
Q-sep QuEChERS dSPE 15 mL Centrifuge Tube, Contains 900 mg MgSO4, 150 mg PSA, 150 mg C18-EC, 50 Tubes
Q-sep QuEChERS dSPE 2 mL Centrifuge Tube, Contains 150 mg MgSO4, 25 mg PSA, 2.5 mg GCB, 100 Tubes
Q-sep QuEChERS dSPE 2 mL Centrifuge Tube, Contains 150 mg MgSO4, 50 mg PSA, 50 mg Graphitized GCB, 100 Tubes
Q-sep QuEChERS dSPE 15 mL Centrifuge Tube, Contains 1200 mg MgSO4, 400 mg PSA, 400 mg C18-EC, 400 mg GCB, 50 Tubes
Q-sep QuEChERS dSPE 15 mL Centrifuge Tube, Contains 900 mg MgSO4, 150 mg PSA, 15 mg GCB, 50 Tubes
Q-sep QuEChERS dSPE 2 mL Centrifuge Tube, Contains 150 mg MgSO4, 25 mg PSA, 7.5 mg GCB, 100 Tubes
Q-sep QuEChERS dSPE 2 mL Centrifuge Tube, Contains 150 mg MgSO4, 50 mg PSA, 50 mg C18-EC, 50 mg GCB, 100 Tubes
Q-sep QuEChERS dSPE 15 mL Centrifuge Tube, Contains 900 mg MgSO4, 150 mg PSA, 45 mg GCB, 50 Tubes
Q-sep QuEChERS dSPE 15 mL Centrifuge Tube, Contains 900 mg MgSO4, 300 mg PSA, 150 mg GCB, 50 Tubes
Q-sep QuEChERS dSPE 2 mL Centrifuge Tube, Contains 150 mg MgSO4, 50 mg PSA, 50 mg C18-EC, 7.5 mg GCB, 100 Tubes
Q-sep QuEChERS dSPE 15 mL Centrifuge Tube, Contains 900 mg MgSO4, 300 mg PSA, 300 mg C18-EC, 45 mg GCB, 50 Tubes
GC Multiresidue Pesticide Standards Kit
FSAR3917
Version: A