Delta-10-THC has been a trending cannabinoid for some time now. It is an isomer of its more famous relative, delta-9-THC, more commonly known as THC.
Delta-10-THC is being monitored in an increasing number of potency panels across the country, and has two epimers, (6aR,9R)-delta 10-THC and (6aR,9S)-delta 10-THC. Epimers are compounds that have multiple chiral centers, but only have a different configuration at one stereocenter. Unlike enantiomers, which are mirror images and require chiral LC column chemistries to be separated, epimers can oftentimes be resolved using traditional LC stationary phases.

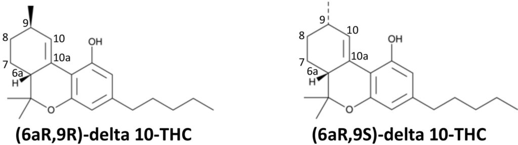
In the two structures above, we have both delta-10-THC epimers. These structures have two chiral centers, one at the carbon 9 and one at carbon 6a. In both cases the hydrogen group is located in the “R” configuration, while the methyl group is located in the “R” configuration in the left structure and the “S” configuration on the right. Therefore, the nomenclature of the left structure is (6aR,9R)-delta 10-THC and the right structure is (6aR,9S)-delta 10-THC.
Epimers can behave differently and have different properties. Probably the most common example is in carbohydrate chemistry. For example, glucose has several epimers that can play various vital roles in the human body. Glucose is typically stored as blood sugar and is an important source of energy, while mannose, a C2 epimer of glucose, is involved in the glycosylation of various proteins. In this case, available glucose is converted to mannose which can then perform the glycosylation processes. This is just one example of how an epimer can be preferred over another in a metabolic process.
Delta-10-THC epimers appear to be no different. Early reports of delta-10-THC isomers indicate different psychoactive effects. In a study reported on in Drug Discrimination: Applications to Drug Abuse Research, the 9R,6aR epimer displayed THC-like activity when tested on pigeons, while the 9S,6aR compound seemed to not have any effects at all, even at the highest distributed dose.1 This could suggest that the 9R,6aR-delta-10-THC may be the preferred configuration for binding to the CB1 receptors, resulting in the psychoactive effects.
Here, we developed a method to resolve 18 cannabinoids in 15 minutes using isocratic conditions. The analyte list includes both delta-10-THC epimers and exo-THC, which many states are considering including in updated regulations.

By using this method, labs can identify which delta-10-THC epimer is present in their sample and have confidence in their reporting. Is your lab currently running or interested in delta-10-THC epimers? Let us know in the comments below!
- Torbjorn, U. C.; Mathis, J.; Mathis, D. “Discriminative Stimulus Functions of Cannabinoids/Cannabimimetics.” Drug Discrimination: Applications to Drug Abuse Research. 1991. pg 90. https://citeseerx.ist.psu.edu/viewdoc/download?doi=10.1.1.152.52&rep=rep1&type=pdf#page=97

