Abstract
The C3 epimers of 25-hydroxyvitamin D have lower bioactivity than the primary metabolites and, unless they are chromatographically separated, can cause clinical vitamin D levels to be overestimated. Raptor FluoroPhenyl columns provide baseline resolution of all key compounds, and the method established here allows accurate quantification in a fast, 5-minute analysis time (7-minute total cycle time). This method is recommended for labs interested in reporting C3 epimer concentrations separately in order to obtain more accurate results for the clinical diagnosis of vitamin D status.
Introduction
Vitamin D analysis has increased dramatically in clinical practice, due to its association with multiple human diseases and the prevalence of vitamin D deficiency worldwide. Vitamin D exists in two forms, vitamin D2 and vitamin D3. These parent compounds undergo metabolism to form 25-hydroxyvitamin D2 [25(OH)D2] and 25-hydroxyvitamin D3 [25(OH)D3], which are used as biomarkers for the assessment of vitamin D status in patients. However, C3 epimeric forms of 25-hydroxyvitamin D—3-epi-25-hydroxyvitamin D2 [3-epi-25(OH)D2] and 3-epi-25-hydroxyvitamin D3 [3-epi-25(OH)D3]—have been identified and may contribute a large portion of the total 25-hydroxyvitamin D concentration, particularly in infant populations. Structurally, the C3 epimeric forms differ from the primary forms only in the configuration of the hydroxyl group in the third carbon position. Studies have shown that the C3 epimers of 25-hydroxyvitamin D have much lower bioactivity than the primary metabolites; therefore, specific quantitation of the C3 epimers is necessary for proper clinical assessment of vitamin D status. Since the C3 epimers are isobaric to the primary metabolites (Figure 1), chromatographic separation is necessary for accurate quantitation. In this study, the Raptor FluoroPhenyl column was used for the chromatographic separation of the primary 25-hydroxyvitamin metabolites from their C3 epimers. As established here, the chromatographic method was able to quickly and accurately quantify both C3 epimers of 25-hydroxyvitamin D2 and D3 and the primary metabolites in fortified serum.

Experimental
Calibration Standards and Serum Control Samples
Synthetic human serum [SeraFlx LCMSMS (Cerilliant)] was fortified with four analytes—25-hydroxyvitamin D2, 25-hydroxyvitamin D3, 3-epi-25-hydroxyvitamin D2, and 3-epi-25-hydroxyvitamin D3—to prepare calibration standards and QC samples. The concentrations of the calibration standards ranged from 1 to 100 ng/mL and the QC samples were prepared at 4, 20, and 80 ng/mL for all analytes. In addition, beagle serum was fortified with all four analytes at 8 ng/mL. All samples were subjected to the sample preparation procedure detailed below. All samples, including the beagle serum samples, were quantified using the calibration standards prepared in synthetic human serum.
Sample Preparation
Serum (400 µL) was mixed with 15 µL of internal standard solution (1 µg/mL of d6-25-hydroxyvitamin D3 in methanol), 0.2 M ZnSO4 (400 µL), and methanol (800 µL) in a 4 mL glass vial. A 2 mL aliquot of hexane was added and the samples were mixed for 90 seconds. Then, the samples were centrifuged for 10 minutes at 4,300 rpm. The hexane layer was removed and evaporated to dryness under nitrogen at 55 °C. The dried extract was reconstituted with 100 µL of a water:methanol solution (50:50) and injected (10 µL) for analysis.
LC analysis was performed on a Shimadzu Nexera XR LC coupled with a Sciex API 4000 mass spectrometer. Instrument conditions were as follows and analyte transitions are provided in Table I.
| Analytical column: | Raptor FluoroPhenyl (2.7 µm, 100 mm x 3.0 mm; cat.# 9319A1E) | |
| Mobile phase A: | 0.1% Formic acid in water | |
| Mobile phase B: | Methanol | |
| Gradient | Time (min) | %B |
| 0.00 | 75 | |
| 4.00 | 80 | |
| 4.01 | 100 | |
| 5.00 | 100 | |
| 5.01 | 75 | |
| 7.00 | 75 | |
| Flow rate: | 0.6 mL/min | |
| Injection volume: | 10 µL | |
| Column temp.: | 30 °C | |
| Ion mode: | Positive ESI | |
Table I: Analyte Transitions
| Analyte | Precursor Ion | Product Ion Quantifier | Product Ion Qualifier |
| 25-Hydroxyvitamin D3 | 401.5 | 383.4 | 365.5 |
| 3-Epi-25-hydroxyvitamin D3 | 401.5 | 383.4 | 365.5 |
| 25-Hydroxyvitamin D2 | 413.5 | 355.5 | 337.3 |
| 3-Epi-25-hydroxyvitamin D2 | 413.5 | 355.5 | 337.3 |
| 25-Hydroxyvitamin D3-d6 | 407.5 | 371.4 | – |
Results and Discussion
Linearity
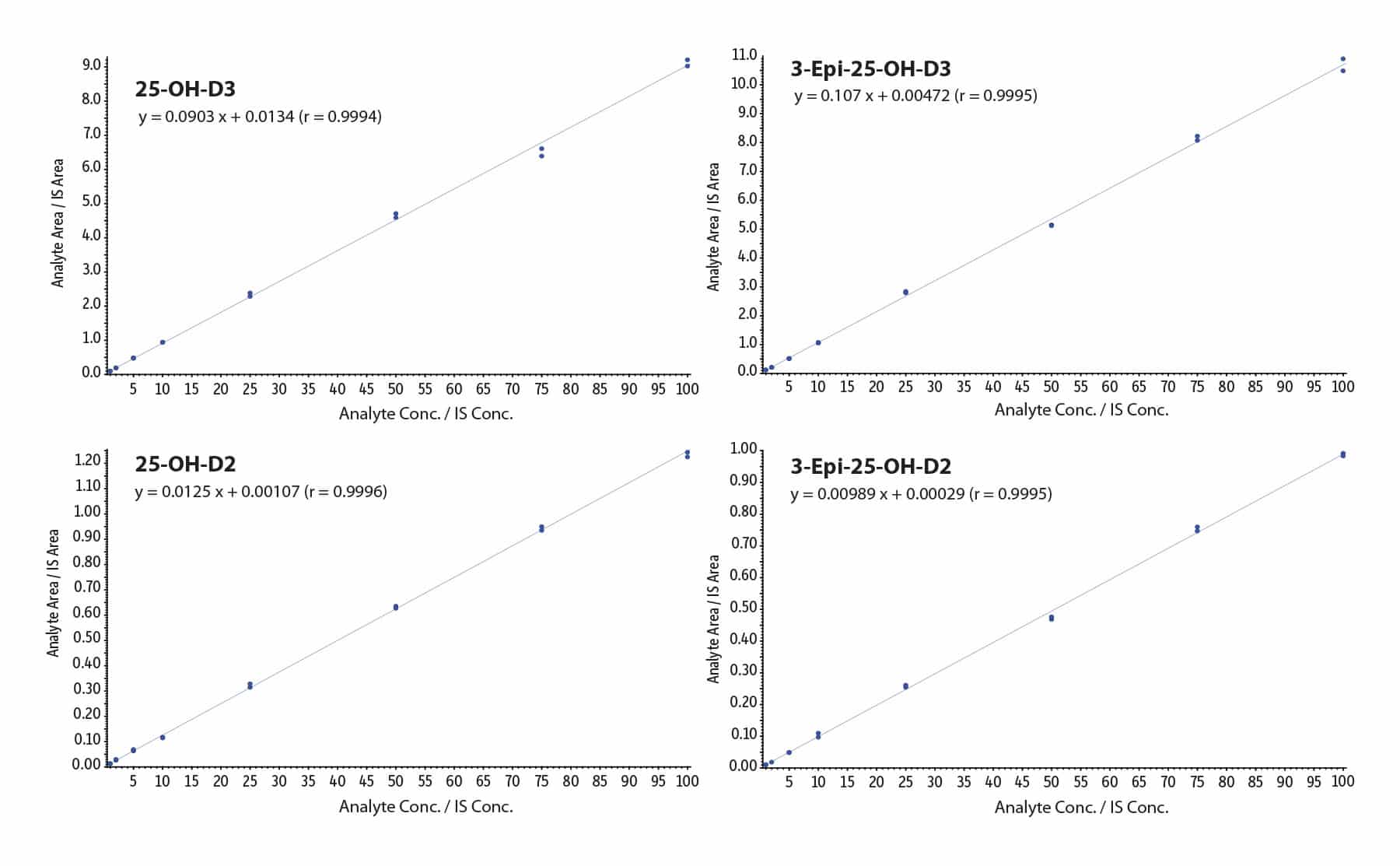
It was determined that a 1/x weighted linear regression was the best fit for the standard curves of all four analytes (Figure 2). Standard deviations were ≤10% (except for the lowest concentration, which was ≤20%) and individual R-squared values ranged from 0.996 to 0.999. Examples of typical calibration curves are shown in Figure 2. The LOD for all compounds was 0.3 ng/mL, as estimated from the signal-to-noise value of the 1 ng/mL standard injection.

Accuracy and Precision
Three independent analyses were conducted on multiple days and three replicates of the QC samples were included in each analysis. Quantitative analysis of three QC levels of fortified synthetic human serum samples showed acceptable method accuracy with percent recoveries within 10% of the nominal concentration for all QC levels. Individual %RSD values ranged from 0.9-6.6% and 2.2-5.3% for intraday and interday analyses, respectively, indicating that an acceptable level of method precision was obtained (summary data presented in Table II). Accurate quantitative analysis was possible because the Raptor FluoroPhenyl column provided baseline resolution of both C3 epimers of 25-hydroxyvitamin D from the primary metabolites (Figure 3). These compounds cannot be separated on standard C18 columns, but the unique selectivity of the Raptor FluoroPhenyl column allowed complete separation in a fast, 5-minute analysis time (7 minutes total cycle time).

LC_CF0665
Conditions
| Column | Raptor FluoroPhenyl (cat.# 9319A1E) | ||||||||||||||||||||||||||||
|---|---|---|---|---|---|---|---|---|---|---|---|---|---|---|---|---|---|---|---|---|---|---|---|---|---|---|---|---|---|
| Dimensions: | 100 mm x 3 mm ID | ||||||||||||||||||||||||||||
| Particle Size: | 2.7 µm | ||||||||||||||||||||||||||||
| Temp.: | 30 °C | ||||||||||||||||||||||||||||
| Standard/Sample | Serum | ||||||||||||||||||||||||||||
| Diluent: | Water:methanol (50:50) | ||||||||||||||||||||||||||||
| Conc.: | 20 ng/mL | ||||||||||||||||||||||||||||
| Inj. Vol.: | 10 µL | ||||||||||||||||||||||||||||
| Mobile Phase | |||||||||||||||||||||||||||||
| A: | 0.1% Formic acid in water | ||||||||||||||||||||||||||||
| B: | Methanol | ||||||||||||||||||||||||||||
|
| Detector | MS/MS |
|---|---|
| Ion Mode: | ESI+ |
| Mode: | MRM |
| Instrument | UHPLC |
| Sample Preparation | Sample matrix was fortified at the concentrations shown above and then extracted as follows. Fortified matrix (400 µL) was mixed with 0.2 M ZnSO4 (400 µL) in a 4 mL glass vial. Then, 800 µL of methanol was added and the sample was vortex mixed for 10 seconds. Next, 2 mL of hexane was added and the sample was mixed for 90 seconds, followed by a 10-minute centrifugation at 4300 rpm. The hexane layer was then removed and evaporated to dryness under nitrogen at 55° C. The dried extract was reconstituted with 100 µL of a water:methanol (50:50) solution and injected for analysis. |
Table II: Accuracy and Precision of QC Samples
| QC Level 1 (4.0 ng/mL) | QC Level 2 (20 ng/mL) | QC Level 3 (80 ng/mL) | |||||||
| Analyte | Average Conc. (ng/mL) | Average Accuracy (%) | %RSD | Average Conc. (ng/mL) | Average Accuracy (%) | %RSD | Average Conc. (ng/mL) | Average Accuracy (%) | %RSD |
| 25-Hydroxyvitamin D2 | 4.0 | 98.9 | 3.5 | 20.0 | 100.1 | 2.2 | 84.2 | 105.3 | 3.5 |
| 25-Hydroxyvitamin D3 | 4.0 | 99.8 | 5.3 | 20.4 | 102.0 | 2.6 | 79.5 | 99.4 | 4.5 |
| 3-Epi-25-hydroxyvitamin D2 | 4.1 | 101.4 | 5.3 | 20.0 | 100.0 | 2.8 | 79.8 | 99.7 | 2.3 |
| 3-Epi-25-hydroxyvitamin D3 | 4.2 | 103.8 | 2.3 | 20.8 | 104.2 | 2.6 | 77.8 | 97.3 | 3.8 |
Beagle Serum Analysis
The method was used to analyze the blank and 8 ng/mL fortified beagle serum samples (Figures 4 and 5). As shown in Table III, acceptable accuracy and precision results were achieved. For most compounds, the average percent recoveries of three sets of analyses were within 5% and the %RSD values ranged from 2.3-2.9%. However, because the beagle serum contained a high endogenous concentration of 25-hydroxyvitamin D3, accuracy and precision for this compound could not be assessed at the 8 ng/mL fortification level.

LC_CF0666
Conditions
| Column | Raptor FluoroPhenyl (cat.# 9319A1E) | ||||||||||||||||||||||||||||
|---|---|---|---|---|---|---|---|---|---|---|---|---|---|---|---|---|---|---|---|---|---|---|---|---|---|---|---|---|---|
| Dimensions: | 100 mm x 3 mm ID | ||||||||||||||||||||||||||||
| Particle Size: | 2.7 µm | ||||||||||||||||||||||||||||
| Temp.: | 30 °C | ||||||||||||||||||||||||||||
| Standard/Sample | Blank beagle serum | ||||||||||||||||||||||||||||
| Diluent: | Water:methanol (50:50) | ||||||||||||||||||||||||||||
| Conc.: | Unknown endogenous concentration | ||||||||||||||||||||||||||||
| Inj. Vol.: | 10 µL | ||||||||||||||||||||||||||||
| Mobile Phase | |||||||||||||||||||||||||||||
| A: | 0.1% Formic acid in water | ||||||||||||||||||||||||||||
| B: | Methanol | ||||||||||||||||||||||||||||
|
| Detector | MS/MS |
|---|---|
| Ion Mode: | ESI+ |
| Mode: | MRM |
| Instrument | UHPLC |
| Sample Preparation | Serum (400 µL) was mixed with 0.2 M ZnSO4 (400 µL) in a 4 mL glass vial. Then, 800 µL of methanol was added and the sample was vortex mixed for 10 seconds. Next, 2 mL of hexane was added and the sample was mixed for 90 seconds, followed by a 10-minute centrifugation at 4300 rpm. The hexane layer was then removed and evaporated to dryness under nitrogen at 55° C. The dried extract was reconstituted with 100 µL of a water:methanol (50:50) solution and injected for analysis. |

LC_CF0667
Conditions
| Column | Raptor FluoroPhenyl (cat.# 9319A1E) | ||||||||||||||||||||||||||||
|---|---|---|---|---|---|---|---|---|---|---|---|---|---|---|---|---|---|---|---|---|---|---|---|---|---|---|---|---|---|
| Dimensions: | 100 mm x 3 mm ID | ||||||||||||||||||||||||||||
| Particle Size: | 2.7 µm | ||||||||||||||||||||||||||||
| Temp.: | 30 °C | ||||||||||||||||||||||||||||
| Standard/Sample | Fortified beagle serum | ||||||||||||||||||||||||||||
| Diluent: | Water:methanol (50:50) | ||||||||||||||||||||||||||||
| Conc.: | 8 ng/mL fortified concentration | ||||||||||||||||||||||||||||
| Inj. Vol.: | 10 µL | ||||||||||||||||||||||||||||
| Mobile Phase | |||||||||||||||||||||||||||||
| A: | 0.1% Formic acid in water | ||||||||||||||||||||||||||||
| B: | Methanol | ||||||||||||||||||||||||||||
|
| Detector | MS/MS |
|---|---|
| Ion Mode: | ESI+ |
| Mode: | MRM |
| Instrument | UHPLC |
| Sample Preparation | Sample matrix was fortified at the concentrations shown above and then extracted as follows. Fortified matrix (400 µL) was mixed with 0.2 M ZnSO4 (400 µL) in a 4 mL glass vial. Then, 800 µL of methanol was added and the sample was vortex mixed for 10 seconds. Next, 2 mL of hexane was added and the sample was mixed for 90 seconds, followed by a 10-minute centrifugation at 4300 rpm. The hexane layer was then removed and evaporated to dryness under nitrogen at 55° C. The dried extract was reconstituted with 100 µL of a water:methanol (50:50) solution and injected for analysis. |
Table III: Beagle Serum Analysis
| Analyte | QC Level 1 (8.0 ng/mL) | ||
| Average Conc. (ng/mL) | Average Accuracy (%) | %RSD | |
| 25-Hydroxyvitamin D2 | 8.3 | 103.6 | 2.9 |
| 25-Hydroxyvitamin D3 | –1 | – | – |
| 3-Epi-25-hydroxyvitamin D2 | 7.8 | 97.5 | 2.7 |
| 3-Epi-25-hydroxyvitamin D3 | 8.22 | 102.4 | 2.3 |
1Not suitable for measurement due to high endogenous concentration of 25(OH)D3
2Adjusted for the endogenous concentration of 3-epi-25(OH)D3
Conclusion
The unique selectivity of the Raptor FluoroPhenyl column allows fast quantitative analysis of the C3 epimers of 25-hydroxyvitamin D and the primary metabolites in serum. The analytical method established here is applicable to the clinical analysis of total 25-hydroxyvitamin D concentration. Because all key compounds are chromatographically separated, this method provides analytical labs with the option to report C3 epimer concentrations separately, providing more accurate results for the clinical diagnosis of vitamin D status.

